14.08.2020 00:05
для всіх
5817
    
  - | -  
 © Дистанційне Навчання З Фізики

Електричний струм у металах

Електричний струм у металах 11 клас

Мета онлайн уроку: формувати під час очного або дистанційного навчання уявлення про основні положення електронної теорії провідності металів; встановити залежність опору металів від температури та розкрити практичне застосування цієї залежності; з’ясувати фізичну суть явища надпровідності, проблему його дослідження і перспективи використання; поглибити знання учнів про природу електричного струму

Ми зробили електрику такою дешевою, що палити свічки будуть лише багатії.
Т. Едісон

Слайд 1

Актуалізація опорних знань. Перевірка знань


Дистанційне Навчання З Фізики цікавиться

  • Вольфрамова нитка лампи розжарювання поступово тоншає через випаровування металу. Врешті-решт у найтоншому місці нитка перегоряє. А чому лампа зазвичай перегоряє в той момент, коли її вмикають?
  • Відгукнутись

На сьогоднішньому уроці ви дізнаєтесь, чи вірно ви дали відповідь.

Слайд 2

Вивчення нового матеріалу «Електричний струм у металах»

Опрацьовуємо очно або дистанційно параграф «Електричний струм у металах» §5 за підручником «Фізика 11 клас, В. Г. Бар’яхтар, С. О. Довгий». Пишемо конспект.

Але розпочинаємо з узагальнюючого відео по темі.

PlayVideo YouTube

Слайд 3

Електричний струм у металах являє собою напрямлений рух вільних електронів.

Напрямлений рух вільних електронів

Слайд 4

Дослід Стюарта-Толмена

PlayVideo YouTube

Слайд 5

Середня швидкість напрямленого руху електронів


  • Середня швидкість хаотичного руху вільних електронів величезна — близько 300 км/с. Разом із тим середня швидкість їхнього напрямленого руху надзвичайно мала — кілька десятих міліметра за секунду. Чому ж, щойно ми натискаємо вимикач лампи, вона відразу спалахує? Річ у тім, що електричне поле поширюється в провіднику зі швидкістю світла (300000 км/с). Завдяки дії поля вільні електрони, розташовані в будь-якій точці провідника, майже миттєво втягуються в напрямлений рух.
  • Доповнити

Середня швидкість напрямленого руху електронів. Формула

Слайд 6

Розв’язування задач

Задача 1.

Визначте середню швидкість напрямленого руху електронів у мідному проводі з перерізом 1 мм2 за сили струму 1 А, якщо концентрація вільних електронів у міді n=8.4·1028 м-3.

Слайд 7

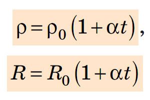
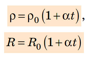
Залежність опору провідника від температури

Опір металевого провідника майже лінійно залежить від температури:

Залежність опору провідника від температури

, де ρ0, R0 — відповідно питомий опір і опір провідника за температури 0 °С; ρ, R — відповідно питомий опір і опір провідника за температури t, α — температурний коефіцієнт електричного опору.

Залежність питомого опору від температури

Температурний коефіцієнт електричного опору — це фізична величина, яка характеризує залежність питомого опору речовини від температури.

Одиниця температурного коефіцієнта в СІ — обернений кельвін (кельвін у мінус першому степені): [α]=К-1.

Графік зміни питомогу опору

Слайд 8

Явище надпровідності

У разі зниження температури деяких металів до температур, близьких до абсолютного нуля, їхній опір стрибком падає до нуля. Це явище називають надпровідністю.

Явище надпровідності

Слайд 9

Ефект Мейснера

А тепер, кілька цікавинок про використання знань про надпровідність на практиці.

PlayVideo YouTube

Слайд 10

Закріплення набутих знань

Пройдемо інтерактивний тест онлайн уроку «Електричний струм у металах», побудований на основі контрольних запитань параграфа, для остаточного закріплення поданого матеріалу.

Тест "Електричний струм у металах"

Контрольні запитання до онлайн уроку "Електричний струм у металах" під час очного або дистанційного навчання.

Слайд 11

Розглянемо задачу з п. 4 «Учимося розв’язувати задачі» з підручника на сторінці 26 та проаналізуємо розв’язок.

Слайд 12

Чи правильно ви дали відповідь на питання з лампою розжарення, яка перегоряє найчастіше при ввімкненні, задане на початку уроці? При дистанційному навчанні обов’язково запишіть пояснення в робочий зошит.

Слайд 13

Домашнє завдання

Вправи до онлайн уроку «Електричний струм у металах», які вкаже ваш учитель фізики.

Наприклад, Вправа 5, завдання 1, 2, 3 за підручником «Фізика 11 клас, В. Г. Бар’яхтар, С. О. Довгий». Також законспектуйте задачу з п. 4 «Учимося розв’язувати задачі» з підручника на сторінці 26, яку розглянули під час вивчення теми.


PlayЕлектричний струм у металах


Запрошуємо школярів та вчителів приєднатися до спільноти Facebook "Дистанційне навчання: Фізика":

Перейти на сторінку в ФБ


Дистанційне Навчання З Фізики цікавиться

  • Дистанційне Навчання З ФізикиМаєте питання, пропозиції або помітили помилку? Напишіть нам та ставте лайк!
  • Задонатити
  • Добровільну фінансову допомогу на розвиток проекту у вигляді довільної суми коштів, яка Вас не обтяжує, можна швидко надіслати за вказаним під кнопкою "Задонатити" посиланням

Візьміть участь в обговоренні

+++ +++
  • Зберегти, як скаргу
Не знайдено або поки відсутні!