20.04.2021 20:15
для всіх
4518
    
  3 | 3  
 © Дистанційне Навчання З Фізики

Протонно-нейтронна модель атомного ядра. Ядерні сили. Енергія зв’язку

Протонно-нейтронна модель атомного ядра. Ядерні сили. Енергія зв’язку 11 клас

Мета онлайн уроку: формувати уявлення під час очного або дистанційного навчання про модель атомного ядра, сильну взаємодію, енергію зв’язку між нуклонами у ядрі; розглянути сучасні теорії будови атома

Із ідеї руху електронів, подібно руху планет, виникла атомна фізика.
М. Планк

Слайд 1

Актуалізація опорних знань. Перевірка знань

Пройдіть інтерактивний тест «Так – Ні» на знання «будови атома та ядра» на основі матеріалів фізики 9 класу.

Тест "Сучасна модель атома"

Контрольні запитання до онлайн уроку "Сучасна модель атома" для очного та дистанційного навчання.

Слайд 2

Вивчення нового матеріалу «Протонно-нейтронна модель атомного ядра. Ядерні сили. Енергія зв’язку»

Опрацьовуємо очно або дистанційно параграф §39 «Протонно-нейтронна модель атомного ядра. Ядерні сили. Енергія зв’язку» за підручником «Фізика 11 клас, В. Г. Бар’яхтар, С. О. Довгий» та записуємо головне.

При дистанційному навчанні, вивчення нової теми варто почати з узагальнюючого відео.

PlayVideo YouTube

Слайд 3

Будова ядра атома

Атомне ядро складається з нуклонів (від латин. nucleus — ядро): протонів, які мають позитивний заряд, і нейтронів, які не мають заряду. Сумарну кількість протонів і нейтронів в атомі називають нуклонним (масовим) числом і позначають символом А.

Заряд протона за модулем дорівнює заряду електрона (елементарному заряду e=−1, 6·10-19 Кл), тому в нейтральному атомі кількість протонів дорівнює кількості електронів.

Кількість протонів у ядрі називають зарядовим (протонним) числом і позначають символом Z. Порядковий номер елемента в Періодичній системі хімічних елементів Д. І. Менделєєва відповідає кількості протонів у ядрі, тобто зарядовому числу.

Знаючи зарядове (Z) і масове (A) числа ядра атома, можна визначити кількість нейтронів (N) у цьому ядрі: N=A–Z.

Нуклід хімічного елемента.

Вид атомів, який характеризується певним значенням зарядового числа та певним значенням масового числа, називають нуклідом

Різновиди атомів того самого хімічного елемента, ядра яких містять однакове число протонів, але різну кількість нейтронів, називають ізотопами («однакові за місцем»).

Пригадати структуру атома та його ядра зручно через симуляцію «Будуємо атом» від Phet.

Слайд 4

Основні властивості ядерних сил:

Електромагнітна взаємодія

Сильна взаємодія

1) це найпотужніші сили, які існують у природі;

2) є тільки силами притягання;

3) є близькодіючими;

4) не залежать від заряду;

5) мають властивість насичення.

Слайд 5

Енергія зв’язку атомного ядра

Енергію, необхідну для повного розщеплення ядра на окремі нуклони, називають енергією зв’язку атомного ядра (Eзв).

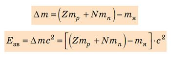
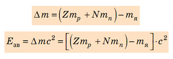
Маса будь­якого ядра менша від суми мас нуклонів, із яких це ядро складається:

Mя < Zmp+Nmn,

де mя — маса ядра; Zmp — маса протонів у ядрі; Nmn — маса нейтронів у ядрі.

Різницю маси нуклонів, з яких складається ядро, і маси ядра називають дефектом мас:

Дефект мас.

Енергія зв`язку. Формула для одиниць в а.о.м.

Слайд 6

Питома енергія зв’язку f — це фізична величина, яка характеризує ядро певного нукліда й чисельно дорівнює енергії зв’язку, що припадає на один нуклон ядра:

Питома енергія зв’язку f.

де Eзв — енергія зв’язку; A — кількість нуклонів у ядрі (масове число).

Слайд 7

Закріплення набутих знань

Пройдіть інтерактивний тест «Протонно-нейтронна модель атомного ядра. Ядерні сили. Енергія зв’язку», який складений на основі контрольних запитань параграфа та додаткових завдань, щоб остаточно закріпити пройдений матеріал.

Тест "Протонно-нейтронна модель атомного ядра. Ядерні сили. Енергія зв’язку"

Контрольні запитання до онлайн уроку "Протонно-нейтронна модель атомного ядра. Ядерні сили. Енергія зв’язку" під час дистанційного навчання.

Слайд 8

Розв’язування задач

Розглянемо задачу з п. 5 «Учимося розв’язувати задачі» з підручника на сторінці 228 та проаналізуємо розв’язок.

Задача

Обчисліть питому енергію зв’язку ядра Гелію (24He). Необхідні дані знайдіть у таблиці «Маса деяких нуклідів» (Додаток 1 на ст. 259).

Слайд 9

Домашнє завдання

Вправи до онлайн уроку «Протонно-нейтронна модель атомного ядра. Ядерні сили. Енергія зв’язку», які вкаже ваш учитель фізики.

Наприклад, Вправа 39, завдання 1, 4 за підручником «Фізика 11 клас, В. Г. Бар’яхтар, С. О. Довгий».


PlayПротонно-нейтронна модель атомного ядра. Ядерні сили. Енергія зв’язку


Запрошуємо школярів та вчителів приєднатися до спільноти Facebook "Дистанційне навчання: Фізика":

Перейти на сторінку в ФБ


Дистанційне Навчання З Фізики цікавиться

  • Дистанційне Навчання З ФізикиМаєте питання, пропозиції або помітили помилку? Напишіть нам та ставте лайк!
  • Задонатити
  • Добровільну фінансову допомогу на розвиток проекту у вигляді довільної суми коштів, яка Вас не обтяжує, можна швидко надіслати за вказаним під кнопкою "Задонатити" посиланням

Візьміть участь в обговоренні

+++ +++
  • Зберегти, як скаргу
Не знайдено або поки відсутні!