17.04.2020 13:30
для всіх
3743
    
  3 | 4  
 © Дистанційне Навчання З Фізики

Радіоактивність. Основний закон радіоактивного розпаду

Радіоактивність. Основний закон радіоактивного розпаду 11 клас

Мета онлайн уроку: формувати уявлення під час дистанційного навчання про перетворення ядер, природу радіоактивного розпаду та його закономірності, формувати поняття радіоактивності, радіоактивного випромінювання та його властивості, активності радіоактивного елемента; дати уявлення про основний закон радіоактивного розпаду

Все є отрута, і все є ліки, – це залежить від дози.
Парацельс

Базовий тест-урок за темою "Радіоактивність. Основний закон радіоактивного розпаду"

Висвітлено наступні тематики: Радіоактивність. Історія відкриття радіоактивності. Склад радіоактивного випромінювання. α-випромінювання. β-випромінювання. γ-випромінювання. Правила заміщення. Період піврозпаду. Активність радіоактивного джерела. Основний закон радіоактивного розпаду.

Актуалізація опорних знань. Перевірка знань

Розпочнемо з цікавого відео про «радіоактивність».

PlayVideo YouTube

Вивчення нового матеріалу «Радіоактивність. Основний закон радіоактивного розпаду»

Опрацьовуємо дистанційно параграф §40 «Радіоактивність. Основний закон радіоактивного розпаду» за підручником «Фізика 11 клас, В. Г. Бар’яхтар, С. О. Довгий» та записуємо головне. Розпочніть з пояснювального відео по темі.

PlayVideo YouTube

Більшість нуклідів, що існуюють у природі, є радіоактивними: їхні ядра довільно розпадаються, випромінюючи мікрочастинки та перетворюючись на інші ядра. Якщо ядро випромінює α-частинку (ядро атома Гелію), то кількість нуклонів у ядрі зменшується на 4, а протонів — на 2; якщо ядро випромінює β–частинку (електрон), то кількість протонів у ядрі збільшується на 1; якщо ядро випромінює β+–частинку (позитрон), то кількість протонів у ядрі зменшується на 1. І α-розпад, і β-розпад можуть супроводжуватися γ-випромінюванням — високочастотним електромагнітним випромінюванням.

Правила зміщення

Радіоактивність — здатність ядер радіонуклідів довільно перетворюватися на ядра інших елементів із випромінюванням мікрочастинок.

α-розпад

α-розпад.

β-розпади

β-розпад.

β-розпад2.

Період піврозпаду T1/2 — це фізична величина, що характеризує радіонуклід і дорівнює часу, протягом якого розпадається половина наявної кількості ядер даного радіонукліда.

Одиниця періоду піврозпаду в СІ — секунда: [T1/2]=1 с (s).

Основний закон радіоактивного розпаду:

Основний закон радіоактивного розпаду.

де N — кількість ядер радіонукліда, що залишились у зразку через час t; N0 — початкова кількість ядер; T1/2 — період піврозпаду; t — час розпаду.

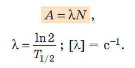
Фізичну величину, яка чисельно дорівнює кількості розпадів, що відбуваються в певному радіоактивному джерелі за секунду, називають активністю A радіоактивного джерела.

Одиниця активності в СІ — бекерель: [А] =1 Бк (Bq).

1 бекерель — це дуже мала активність, тому використовують позасистемну одиницю активності — кюрі (Кі): 1 Кі = 3, 7·1010 Бк.

Активність A радіоактивного джерела.

де N — кількість атомів радіонукліда в зразку на даний час; λ— стала радіоактивного розпаду.

Закріплення набутих знань

Пройти інтерактивний тест онлайн уроку, котрий побудований на основі контрольних запитань з підручника фізики 11 класу.

Тест "Радіоактивність. Основний закон радіоактивного розпаду"

Контрольні запитання до онлайн уроку "Радіоактивність. Основний закон радіоактивного розпаду" під час дистанційного навчання.

Домашнє завдання

Вправи до онлайн уроку «Радіоактивність. Основний закон радіоактивного розпаду», які вкаже ваш учитель фізики.

Наприклад, Вправа 40, завдання 1, 2 за підручником «Фізика 11 клас, В. Г. Бар’яхтар, С. О. Довгий».



2020 р.


PlayРадіоактивність. Основний закон радіоактивного розпаду


Запрошуємо школярів та вчителів приєднатися до спільноти Facebook "Дистанційне навчання: Фізика":

Перейти на сторінку в ФБ


Дистанційне Навчання З Фізики цікавиться

  • Дистанційне Навчання З ФізикиМаєте питання, пропозиції або помітили помилку? Напишіть нам та ставте лайк!
  • Задонатити
  • Добровільну фінансову допомогу на розвиток проекту у вигляді довільної суми коштів, яка Вас не обтяжує, можна швидко надіслати за вказаним під кнопкою "Задонатити" посиланням

Візьміть участь в обговоренні

+++ +++
  • Зберегти, як скаргу
Не знайдено або поки відсутні!