ЛР. Вимірювання ЕРС і внутрішнього опору джерела струму
Мета онлайн уроку: у ході дослідницької діяльності під час очного або дистанційного навчання відпрацювати вміння і навички учнів складати електричні кола з різними типами з’єднань; ознайомитись з одним із методів визначення ЕРС та внутрішнього опору джерела струму
Аристотель
Актуалізація опорних знань. Онлайн перевірка знань
Перед початком лабораторної роботи пригадайте урок «Електрорушійна сила. Закон Ома для повного кола» та вкотре пройдіть відповідник тест для актуалізації відповідних знань. Саме вони допоможуть правильно виконати подані нижче експериментальні завдання.
Тест "Електрорушійна сила. Закон Ома для повного кола"
Вивчення нового матеріалу
Опрацьовуємо дистанційно лабораторну (експериментальну) роботу №2 «Вимірювання ЕРС і внутрішнього опору джерела струму». При підготовці використовуємо матеріал на ст. 50-52 за підручником «Фізика 11 клас, В. Г. Бар’яхтар, С. О. Довгий».
Розпочати варто з перегляду відео, яке допоможе виконати дану експериментальну роботу


Увага, дана лабораторна робота при дистанційному навчанні проводиться віртуально. Кола будуються в онлайн кабінеті, вимірювання проводяться віртуальними приладами! Але це не звільняє від повторення інструкції безпеки для учнів під час проведення занять у кабінеті фізики. Тому розпочинаємо урок, як завжди, з повторень правил з техніки безпеки, які записані на форзаці підручника.
Далі в робочих зошитах записуємо тему, мету, обладнання, хід роботи, дані вимірювань та висновок.
Лабораторна робота №2 «Вимірювання ЕРС і внутрішнього опору джерела струму».
Мета роботи: визначити ЕРС і внутрішній опір батареї гальванічних елементів на основі результатів вимірювань сили струму в колі та напруги на зовнішній ділянці кола.
Обладнання:
1. Джерело струму (батарейка з характеристиками ε=1.5 В, r=1 Ом).
2. Вольтметр.
3. Амперметр.
4. Ключ.
5. Реостат (наприклад, з опором R=10 Ом).
6. З’єднувальні провідники.
Хід роботи
Дослід
1. Накресліть в зошит електричну схему, на основі рисунка.
2. Виведіть формулу для визначення внутрішнього опору з закону Ома для повного кола.
3. При очному навчанні складемо електричне коло за накресленою схемою. При дистанційному навчанні виконаємо все в віртуальній лабораторії від сервісу PHET за наступним посилання . Вводимо відповідні дані в джерело електричного струму: ε=1.5-4.5 В, r=1-2 Ом. Вважаємо, що внутрішній опір нам невідомий. Будуємо віртуальне коло, як на малюнку.
4. Побудуйте таблицю, в яку будемо записувати дані отримані під час вимірювань.
Проскрольте таблицю вліво →Номер досліду | ЕРС εвим, В | Силу струму I, А | Напруга U, В | Внутрішній опір r, Ом | Середнє значення внутрішнього опору rсер, Ом | Результати вимірювань |
1 | ||||||
2 | ||||||
3 |
5. Вимірюємо напругу з вимкненим вимикачем, дане значення буде відповідати ЕРС εвим джерела живлення. Нотуємо запис в таблицю.
6. Наступним кроком буде зняття показів сили струму за допомогою амперметра при максимальному опорі реостата (10 Ом). Замикаємо коло та знімаємо покази, записуючи їх в таблицю.
7. Змінюємо опір реостата приблизно наполовину та повторно проводимо вимірювання. При дистанційному навчанні, в сервісі PHET, змінюємо опір постійного резистора в межах від 4 до 6 Ом. Заносимо нові значення напруги та сили струму в таблицю в п. 2.
8. Виконуємо третє вимірювання зменшивши опір на 1-2 Ом. Загалом виконуємо 3-4 вимірювання, вносячи їх до таблиці.
Опрацювання результатів експерименту
9. Користуючись формулою для обчислення внутрішнього опору, шукаємо усі його значення для кожного досліду та заносимо все в нашу табличку
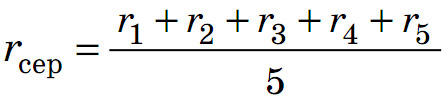
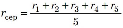
10. Обчислюємо середнє значення внутрішнього опору
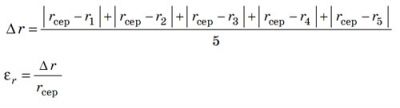
11. Оцінюємо абсолютну похибку вимірювання ЕРС джерела струму. Якщо призабули процес визначення похибок, читаємо додаток 2 на ст. 261-263 підручника.
12. Далі оцінюємо абсолютну та відносну похибки вимірювання внутрішнього опору джерела струму
13. Лишилося округлити результат та записати значення ЕРС та внутрішнього опору в таблицю (останній стовпчик) у наступному вигляді:
Висновок:
14. Зробіть висновок на основі отриманих даних та запишіть його в робочий зошит. Не забудьте зазначити у ньому: 1) які фізичні величини ви вимірювали; значення якої величини було встановлено шляхом прямих вимірювань, а якої — непрямих; 2) якими є результати вимірювань; 3) у чому причина похибок вимірювань; вимірювання якої величини дає найбільшу похибку.
Домашнє завдання
Вправи до онлайн уроку «Вимірювання ЕРС і внутрішнього опору джерела струму», які вкаже ваш учитель фізики.
Наприклад, Творче завдання 2, 3, 4 на ст. 52 за підручником «Фізика 11 клас, В. Г. Бар’яхтар, С. О. Довгий».