Наслідки постулатів спеціальної теорії відносності
10 клас Мета онлайн уроку: формувати уявлення під час очного або дистанційного навчання про відносність довжини і часу в рухомій та нерухомій СВ
І. Ньютон
- Тест "Постулати спеціальної теорії відносності. Релятивістський закон додавання швидкостей"
- Тест "Наслідки постулатів спеціальної теорії відносності"
Актуалізація опорних знань. Перевірка знань
Пройдіть тест з попередньої теми «Постулати спеціальної теорії відносності. Релятивістський закон додавання швидкостей», перед продовженням вивчення наслідків постулатів СТВ.
Тест "Постулати спеціальної теорії відносності. Релятивістський закон додавання швидкостей"
Дистанційне Навчання З Фізики цікавиться
Вивчення нового матеріалу «Наслідки постулатів спеціальної теорії відносності»
Опрацьовуємо очно або дистанційно параграф «Наслідки постулатів спеціальної теорії відносності» §25 за підручником «Фізика 10 клас, В. Г. Бар’яхтар, С. О. Довгий». Складаємо конспект. Нижче виділені головні означення.
Для візуалізації фізичних явищ можна скористатися анімаціями/симуляціями за вказаними посиланнями: Сповільнення часу; Скорочення довжини.
При дистанційному навчанні, вивчення нової теми варто почати з узагальнюючого відео по всьому розділу «Елементи спеціальної теорії відносності».


Лоренцеве (релятивістське) скорочення довжини
Довжина тіла в різних СВ різна. Найбільшу довжину тіло має в тій СВ, де воно перебуває в спокої.
де l0 — довжина стрижня в СВ K’, відносно якої стрижень перебуває у спокої; l — довжина стрижня в СВ K, відносно якої стрижень рухається.
При цьому мають справджуватися наступні дві умови:
Розміри тіла зменшуються тільки вздовж його руху.
Релятивістський ефект скорочення довжини стає помітним тільки у випадку руху тіла зі швидкістю, яка порівнянна зі швидкістю поширення світла.
Візуалізувати ефект скорочення довжини можна через відповідну анімацію.
Ефект уповільнення часу
Час у різних СВ плине з різною швидкістю. У рухомих СВ час плине повільніше, ніж у нерухомих.
Ефект уповільнення часу — властивість самого часу.
Візуалізувати ефект уповільнення часу можна через наступну анімацію.
Докази ефекту уповільнення часу
1. Уповільнення часу експериментально спостерігається у ході радіоактивного розпаду ядер, котрі розігнані приблизно до швидкості світла за допомогою прискорювача елементарних частинок.
З точки зору нерухомого спостерігача радіоактивний розпад прискорених ядер є уповільненим порівняно з радіоактивним розпадом таких самих ядер у стані спокою.
2. Мюони теж легко підтверджують СТВ. Нижче подано відео, де все швидко і зручно пояснюється.


«Парадокс близнюків»
Дистанційне Навчання З Фізики цікавиться
Відповідь у відео:


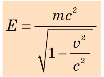
Зв’язок маси та енергії
Енергія тіла (частинки), що рухається, залежить від швидкості його (її) руху:
Якщо швидкість v руху тіла (частинки) дорівнює нулю, то енергія спокою тіла (частинки) рівна:
Зміна енергії тіла прямо пропорційна зміні його маси:
, де Δm – дефект мас.
Якщо швидкість руху тіла (частинки) набагато менша за швидкість світла v < < c, формулу енергії тіла (частинки) можна записати наступним чином:
Закріплення набутих знань
Пройдіть інтерактивний тест «Наслідки постулатів спеціальної теорії відносності», який складений на основі контрольних запитань параграфа та додаткових завдань, щоб остаточно закріпити пройдений матеріал.
Тест "Наслідки постулатів спеціальної теорії відносності"
Розв’язування задач
Задача з §25
Переконайтеся, що енергія спокою величезна: обчисліть, яка енергія «схована» в 1 г води, та порівняйте її з кінетичною енергією вантажівки масою 5 т, яка мчить зі швидкістю 30 м/с.
Домашнє завдання
Вправи до онлайн уроку «Наслідки постулатів спеціальної теорії відносності (СТВ)», які вкаже ваш учитель фізики.
Наприклад, Вправа 25, завдання 1, 2 за підручником «Фізика 10 клас, В. Г. Бар’яхтар, С. О. Довгий».