Постулати спеціальної теорії відносності. Релятивістський закон додавання швидкостей
10 клас Мета онлайн уроку: формувати знання під час очного або дистанційного навчання про основні положення СТВ та висновки з неї; формувати уявлення про відносність одночасності подій
А. Ейнштейн
Актуалізація опорних знань. Перевірка знань
Пригадайте перший закон Ньютона та сформулюйте його.
Тепер, уважно подумайте та дайте відповідь на наступне питання.
Дистанційне Навчання З Фізики цікавиться
Сьогодні кожен дізнається, на скільки правильно та точно відповів та оцінив завдання.
Вивчення нового матеріалу «Постулати спеціальної теорії відносності. Релятивістський закон додавання швидкостей»
Опрацьовуємо очно або дистанційно параграф «Постулати спеціальної теорії відносності. Релятивістський закон додавання швидкостей» §24 за підручником «Фізика 10 клас, В. Г. Бар’яхтар, С. О. Довгий». Складаємо конспект. Нижче виділені головні означення.
Для візуалізації фізичних явищ можна скористатися анімаціями/симуляціями за вказаними посиланнями: експеримент Майкельсона-Морлі.
При дистанційному навчанні, вивчення нової теми варто почати з узагальнюючого відео.


Принцип відносності Ґалілея — Ньютона (механічний принцип відносності):
Будь-які механічні процеси в усіх інерціальних СВ відбуваються однаково, тобто жодними механічними дослідами всередині системи не можна встановити, рухається система рівномірно прямолінійно чи перебуває в стані спокою.
Класичний закон додавання швидкостей:
Швидкість v руху тіла відносно нерухомої СВ дорівнює сумі швидкості v1 руху тіла відносно рухомої СВ і швидкості v2 руху рухомої СВ відносно нерухомої:
Експеримент Майкельсона-Морлі
Переглянемо даний дослід через відповідну анімацію.
Перший постулат СТВ:
В інерціальних СВ всі закони природи однакові.
Другий постулат СТВ:
Швидкість поширення світла у вакуумі однакова в усіх інерціальних СВ.
Час
Подія — будь-яке явище, що відбувається в певній точці простору в певний момент часу.
Одночасність двох подій відносна: події, одночасні в одній інерціальній СВ, не є одночасними в інерціальних СВ, що рухаються відносно першої СВ.
Перегляньте двохвилинне відео, де коротко і ясно пояснюється відносність часу:


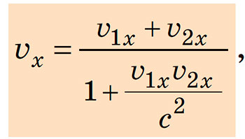
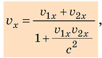
Релятивістський закон додавання швидкостей:
де vx — проекція швидкості руху тіла відносно нерухомої СВ K; v1x — проекція швидкості руху тіла відносно рухомої СВ K’; v2x — проекція швидкості рухомої СВ K’ відносно нерухомої СВ K.
Він набуває вигляду класичного, коли швидкості набагато менші від швидкості світла. У загальному випадку класична механіка І. Ньютона є окремим випадком СТВ.
Закріплення набутих знань
Пройдіть інтерактивний тест «Постулати спеціальної теорії відносності (СТВ). Релятивістський закон додавання швидкостей», який складений на основі контрольних запитань параграфа та додаткових завдань, щоб остаточно закріпити пройдений матеріал.
Тест "Постулати спеціальної теорії відносності. Релятивістський закон додавання швидкостей"
Розв’язування задач
Розглянемо задачу з п. 6 «Учимося розв’язувати задачі» з підручника на сторінці 153 та проаналізуємо розв’язок.
Задача
Доведіть, використовуючи релятивістський закон додавання швидкостей, що у випадку переходу від однієї інерціальної СВ до іншої швидкість поширення світла не змінюється.
Домашнє завдання
Вправи до онлайн уроку «Постулати спеціальної теорії відносності. Релятивістський закон додавання швидкостей», які вкаже ваш учитель фізики.
Наприклад, Вправа 24, завдання 1, 2 за підручником «Фізика 10 клас, В. Г. Бар’яхтар, С. О. Довгий».
