20.04.2021 21:35
для всіх
6337
    
  8 | 9  
 © Дистанційне Навчання З Фізики

Абетка електростатики

Абетка електростатики 10 клас

Мета онлайн уроку: формувати уявлення під час очного або дистанційного навчання знання про електричний заряд, два роди електричних зарядів, електризацію тіл; пояснити принцип дії електроскопа; ознайомитися з одним з основних законів електростатики – законом Кулона

Відтоді минулого 80 років і я, як і раніше, ставлю собі те саме питання: що ж таке електрика? Але не в змозі відповісти на нього.
Н. Тесла

Слайд 1

Актуалізація опорних знань. Перевірка знань

Створіть асоціативний кущ з ключовим словом «електричний заряд».

Хто призабув, наводжу приклад асоціативного куща до слова «школа».

Асоціативний кущ до слова школа.

Слайд 2

Вивчення нового матеріалу «Абетка електростатики»

«Електричний заряд», «електрон», «електризація», «електроскоп», «закон Кулона», «закон збереження електричного заряду», ви це все вивчали на уроках фізики в 8 класі. Пригадаємо дану тему, переглянувши відповідне відео по темі, щоб змогти ще ближче наблизитися до відповіді на питання «Що таке електрика?». Адже на цьому уроці ми повторюємо уже пройдений матеріал за 8 клас.

PlayVideo YouTube

Опрацьовуємо очно або дистанційно параграф «Абетка електростатики» та записуємо головне. §40 за підручником «Фізика 10 клас, В. Г. Бар’яхтар, С. О. Довгий».

Слайд 3

Електричний заряд

Електричний заряд q — це фізична величина, яка характеризує властивість частинок або тіл вступати в електромагнітну взаємодію.

Електричний заряд. Одиниці 

Слайд 4

Основні властивості електричного заряду

1. Існують два роди електричних зарядів — позитивні й негативні.

Існують два роди електричних зарядів: позитивні і негативні

Два роди електричних зарядів

2. Тіла, що мають заряди одного знака, відштовхуються;

Однойменні заряди відштовхуються

тіла, що мають заряди протилежних знаків, притягуються.

Різнойменні заряди притягуються

3. Носієм електричного заряду є частинка.

Існують два роди електричних зарядів: позитивні і негативні

Зазвичай під час електризації тіло приймає або віддає деяку кількість електронів

4. Електричний заряд є дискретним. Носій найменшого негативного заряду — електрон. Його значення: e=−1.6·1019 Кл. Носій найменшого позитивного заряду — протон. Заряд протона за модулем дорівнює заряду електрона.

Електризація — це процес одержання електричного заряду макроскопічними тілами або їх частинами.

Слайд 5

Закон збереження електричного заряду:

Повний заряд електрично замкненої системи тіл залишається незмінним під час усіх взаємодій, які відбуваються в цій системі:

Закон збереження електричного заряду 

де q1, q2, ..., qn — заряди тіл, які утворюють систему; n — кількість тіл.

Слайд 6

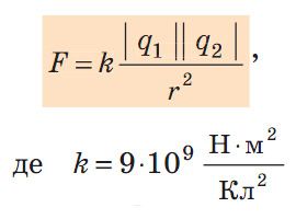
Закон Кулона:

Рисунок до закону Кулона

Сила F взаємодії двох нерухомих точкових зарядів q1 і q2 прямо пропорційна добутку модулів цих зарядів і обернено пропорційна квадрату відстані r між ними:

Закон Кулона.

Слайд 7

Закріплення набутих знань

Пройдіть інтерактивний тест онлайн уроку, який побудований на основі контрольних запитань параграфа «Абетка електростатики».

Тест "Абетка електростатики"

Контрольні запитання до онлайн уроку "Абетка електростатики" під час дистанційного навчання.

Слайд 8

Домашнє завдання

Вправи до онлайн уроку «Абетка електростатики», які вкаже ваш учитель фізики.

Наприклад, Вправа 40, завдання 2, 3 за підручником «Фізика 10 клас, В. Г. Бар’яхтар, С. О. Довгий». Проаналізувати та законспектувати задачу з п. 5 на ст. 240 з §40.


Запрошуємо школярів та вчителів приєднатися до спільноти Facebook "Дистанційне навчання: Фізика":

Перейти на сторінку в ФБ


Дистанційне Навчання З Фізики цікавиться

  • Дистанційне Навчання З ФізикиМаєте питання, пропозиції або помітили помилку? Напишіть нам та ставте лайк!
  • Задонатити
  • Добровільну фінансову допомогу на розвиток проекту у вигляді довільної суми коштів, яка Вас не обтяжує, можна швидко надіслати за вказаним під кнопкою "Задонатити" посиланням

Візьміть участь в обговоренні

+++ +++
  • Зберегти, як скаргу
Не знайдено або поки відсутні!