15.03.2021 20:02
для всіх
4167
    
  2 | 2  
 © Дистанційне Навчання З Фізики

Формула Планка. Світлові кванти

Формула Планка. Світлові кванти 11 клас

Мета онлайн уроку: формувати знання під час очного або дистанційного навчання про історію виникнення квантової теорії, формулу Планка, фотони як кванти світла з певними властивостями

...Ми знаємо, що світло — це хвильовий рух. Сумніватися в цих фактах більше неможливо, спростовувати ці погляди незбагненно для фізика...
Г. Герц

Слайд 1

Актуалізація опорних знань. Перевірка знань

Перевірочна самостійна робота

Задача 1.

При переході світла із вакууму у деяке прозоре середовище, довжина хвилі зменшилася в 1.5 раза. Яке це середовище?

Задача 2.

На дифракційну ґратку нормально до її поверхні падає паралельний пучок променів з довжиною хвилі 500 нм. Стала дифракційної ґратки d=4950 нм. Визначити, скільки максимумів N дає дифракційна ґратка і максимальний кут відхилення променів, які відповідають найбільшому дифракційному максимуму.

Слайд 2


Дистанційне Навчання З Фізики цікавиться

Слайд 3

Вивчення нового матеріалу «Формула Планка. Світлові кванти»

Опрацьовуємо очно або дистанційно параграф «Формула Планка. Світлові кванти» §33 за підручником «Фізика 11 клас, В. Г. Бар’яхтар, С. О. Довгий». Пишемо конспект.

При дистанційному навчання розпочати варто з узагальнюючого відео-пояснення по даній темі.

PlayVideo YouTube

Слайд 4

Абсолютно чорне тіло

Абсолютно чорне тіло

Абсолютно чорне тіло — це фізична модель тіла, яке повністю поглинає будь-яке випромінювання, що падає на нього.

Абсолютно чорне тіло. Залежність енергії від довжини хвилі

Оцінити дану фізичну модель зручно через симуляції «Модель абсолютно чорного тіла» та «Абсолютне чорне тіло».

Слайд 5

Макс Карл Ернст Людвіґ Планк (1858–1947)

Макс Планк

Гіпотеза Планка:

Випромінювання електромагнітних хвиль атомами і молекулами речовини відбувається не безперервно, а дискретно, тобто окремими порціями, енергія E кожної з яких прямо пропорційна частоті ν випромінювання.

Гіпотеза Планка. Формула

де h=6.626∙10-34 Дж∙с – стала Планка

Слайд 6

Властивості фотонів:

1. Заряд фотона дорівнює нулю: q=0 — фотон є електрично нейтральною частинкою.

2. Маса фотона дорівнює нулю: m=0 — фотон є безмасовою частинкою.

3. Швидкість руху фотона не залежить від вибору системи відліку, завжди дорівнює швидкості поширення світла у вакуумі і пов’язана з частотою і довжиною відповідної світлової хвилі формулою хвилі: c=λ∙ν.

4. Енергія фотона прямо пропорційна частоті електромагнітного випромінювання, квантом якого і є цей фотон: E=h∙ν. У разі поглинання світла речовиною фотон передає всю енергію частинкам речовини.

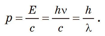
5. Імпульс фотона дорівнює відношенню його енергії до швидкості руху та обернено пропорційний довжині хвилі фотона.

Імпульс фотона. Формула

6. Фотони випромінюються в разі переходу частинок речовини зі збудженого стану в стан із меншою енергією, в разі прискореного руху заряджених частинок, розпаду деяких частинок, анігіляції.

Слайд 7

Закріплення набутих знань

Пройдемо інтерактивний тест онлайн уроку «Формула Планка. Світлові кванти», побудований на основі контрольних запитань параграфа та додаткових завдань, для остаточного закріплення поданого матеріалу.

Тест "Формула Планка. Світлові кванти"

Контрольні запитання до онлайн уроку "Формула Планка. Світлові кванти" під час дистанційного навчання.

Слайд 8

Розв’язування задач

Розглянемо задачу з п. 3 «Учимося розв’язувати задачі» з підручника на сторінці 189 та проаналізуємо розв’язок.

Задача

Споживана потужність електричної лампи розжарювання — 100 Вт. Скільки фотонів щосекунди випромінює нитка розжарення лампи, якщо на випромінювання світла витрачається 4, 4 % електричної енергії? Вважайте, що довжина хвилі випромінювання дорівнює 600 нм.

Слайд 9

Домашнє завдання

Вправи до онлайн уроку «Формула Планка. Світлові кванти», які вкаже ваш учитель фізики.

Наприклад, Вправа 33, завдання 2, 3 за підручником «Фізика 11 клас, В. Г. Бар’яхтар, С. О. Довгий».



2020 р.


PlayФормула Планка. Світлові кванти


Запрошуємо школярів та вчителів приєднатися до спільноти Facebook "Дистанційне навчання: Фізика":

Перейти на сторінку в ФБ


Дистанційне Навчання З Фізики цікавиться

  • Дистанційне Навчання З ФізикиМаєте питання, пропозиції або помітили помилку? Напишіть нам та ставте лайк!
  • Задонатити
  • Добровільну фінансову допомогу на розвиток проекту у вигляді довільної суми коштів, яка Вас не обтяжує, можна швидко надіслати за вказаним під кнопкою "Задонатити" посиланням

Візьміть участь в обговоренні

+++ +++
  • Зберегти, як скаргу
Не знайдено або поки відсутні!