01.12.2020 21:38
для всіх
5385
    
  3 | 4  
 © Дистанційне Навчання З Фізики

Густина. Одиниці густини

Густина. Одиниці густини 7 клас

Мета онлайн уроку: засвоєння учнями під час очного або дистанційного навчання нових знань про густину речовини як фізичну величину та чинники, від яких вона залежить

Розкажи мені – і я забуду. Покажи мені – і я зрозумію. Примусь мене зробити – і я навчуся!
Конфуцій

Слайд 1

Актуалізація опорних знань. Онлайн перевірка знань

Давайте дамо відповіді на кілька питань. При дистанційному навчанні відповідаємо письмово.

Фронтальне опитування

1. З чого складаються усі речовини?

2. В яких агрегатних станах може перебувати речовина?

3. Що змінюється при зміні агрегатного стану: маса чи об’єм?

Слайд 2

Що важче: кілограм пуху чи кілограм заліза?


Дистанційне Навчання З Фізики цікавиться

  • Що важче: кілограм пуху чи кілограм заліза? Чим відрізняються ці речовини?
  • Відгукнутись

Слайд 3

Вивчення нового матеріалу «Густина. Одиниці густини»

Опрацьовуємо очно або дистанційно параграф §16 на сторінці 112-116 за підручником «Фізика 7 клас, В. Г. Бар’яхтар, С. О. Довгий». Для зручності, нижче виділені синім кольором основні тези з матеріалу. Уважно прочитайте та запишіть їх в робочий зошит. Також запишіть та вивчіть нові формули.

При дистанційному онлайн навчанні розпочати варто з перегляду узагальнюючого відео по темі уроку.

PlayVideo YouTube

Слайд 4

Визначимо об`єм

Визначимо відношення маси кожного бруска до його об’єму.

Визначимо масу

Слайд 5

Густина речовини

Густина речовини — це фізична величина, яка характеризує речовину і дорівнює відношенню маси суцільного тіла, виготовленого з цієї речовини, до об’єму цього тіла:

Формула густини

де ρ — («ро») — густина речовини; m — маса тіла; V — об’єм тіла (об’єм, зайнятий речовиною).

Одиниця густини в СІ — кілограм на метр кубічний:

Одиниця густини в СІ кілограм на метр кубічний

Одиниці густини

Слайд 6

Порівняємо густини різних речовин

Порівняємо густини різних речовин

Таблиця густин деяких речовин у твердому стані

Таблиця густин деяких речовин у твердому стані

Більше прикладів густин речовин можна знайти у відповідних таблицях на ст. 249.

Слайд 7

Від яких чинників залежить густина речовини?

Густина суттєво залежить від агрегатного стану і температури речовини.

Густина суттєво залежить від агрегатного стану і температури

Зі збільшенням температури збільшується об’єм речовини і зменшується її густина.

Слайд 8

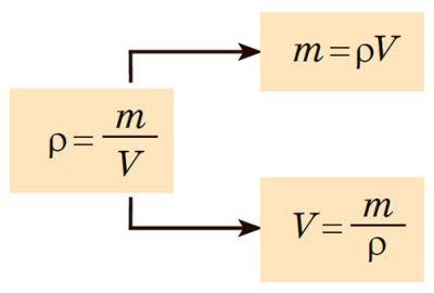
Щоб визначити густину тіла, досить виміряти його масу і об’єм та визначити відношення маси тіла до його об’єму. Аналогічно можна визначити масу тіла через його густина та об’єм, а також об’єм – знаючи масу та густину.

Формули. Залежність густини, маси та об`єму

Слайд 9

Цікава фізика


Дистанційне Навчання З Фізики цікавиться

Густина дощових хмар варіює в межах 0, 3-4 г/м3. Враховуючи великі об’єми, звичайна, невелика, як нам здається, хмаринка, досить важка – має масу близько 10 т. А величезні тропічні циклони можуть містити до 100 млрд. тон води.

Слайд 10

Закріплення набутих знань

Пройдіть інтерактивний тест «Густина. Одиниці густини», побудований на основі контрольних запитань з підручника фізики 7 класу.

Тест "Густина. Одиниці густини"

Контрольні запитання до онлайн уроку "Густина. Одиниці густини" для очного та дистанційного навчання.

Слайд 11

Розв’язування задач

Задача 1

Виразіть густину в основних одиницях СІ:

0, 7 г/см3=?

0, 55 г/мм3=?

Слайд 12

Задача 2

Визначте масу 3 л олії. Відповідь запишіть в кілограмах.


Слайд 13

Домашнє завдання

Вправи та завдання до онлайн уроку «Густина. Одиниці густини», які вкаже ваш учитель фізики.

Наприклад, Вправа 16 (завдання 2, 3, 5) за підручником «Фізика 7 клас, В. Г. Бар’яхтар, С. О. Довгий».


Запрошуємо школярів та вчителів приєднатися до спільноти Facebook "Дистанційне навчання: Фізика":

Перейти на сторінку в ФБ


Дистанційне Навчання З Фізики цікавиться

  • Дистанційне Навчання З ФізикиМаєте питання, пропозиції або помітили помилку? Напишіть нам та ставте лайк!
  • Задонатити
  • Добровільну фінансову допомогу на розвиток проекту у вигляді довільної суми коштів, яка Вас не обтяжує, можна швидко надіслати за вказаним під кнопкою "Задонатити" посиланням

Візьміть участь в обговоренні

+++ +++
  • Зберегти, як скаргу
 19.01.2021 14:07  Іванна Урсуляк => © 

Однакова вага.

 19.01.2021 13:39  Білецька Тетяна => © 

10 тон

 19.01.2021 13:34  Білецька Тетяна => © 

У них одинакова вага, тому що того взяли кілограм і того, виходить що вони одинакової ваги.

 18.01.2021 12:00  Уляна => © 

10 тон

 18.01.2021 11:15  Уляна => © 

Однаково

 18.01.2021 00:44  Стасбічік => © 

Буде одинаково тому що того кілограмі і другого кілограмі

 16.01.2021 17:49  Артур Сполітак => © 

Одинаково

 14.01.2021 20:38  Олійник Анна => © 

однаково

 13.01.2021 13:15  Дікусардаша => © 

Одинаково весят

 12.01.2021 19:09  Даныло НАГАЙЧУК => © 

Оденаково

 12.01.2021 15:27  Анастасия лойк => © 

Однаково, відрізняються масою, формою

 12.01.2021 13:28  Вербамар => Проба Пера 

Оно одинаков

 12.01.2021 13:27  Дима => © 

Они одинаково весят