30.03.2021 12:16
для всіх
4641
    
  2 | 2  
 © Дистанційне Навчання З Фізики

Виштовхувальна сила в рідинах і газах. Закон Архімеда

Виштовхувальна сила в рідинах і газах. Закон Архімеда 7 клас

Мета онлайн уроку: засвоєння учнями під час очного або дистанційного навчання нових знань про виштовхувальну архімедову силу, що діє на тіла, занурені в рідину чи газ

Еврика!
Архімед

Слайд 1

Актуалізація опорних знань. Перевірка знань

Пройдіть інтерактивний тест з попереднього уроку, щоб пригадати пройдений матеріал «Сполучені посудини. Манометри».

Тест "Сполучені посудини. Манометри"

Контрольні запитання до онлайн уроку "Сполучені посудини. Манометри" під час дистанційного навчання.

Слайд 2

Фронтальна бесіда

При дистанційному навчанні відповідаємо письмово.

1. За якою формулою обчислюємо тиск твердого тіла?

2. Яка формула для обрахунку гідростатичного тиску?

3. Що нам каже закон Паскаля?

4. Пригадайте «правило виграшу у силі» та формулу, яка описує даний виграш.

Слайд 3

Чому м’яч, занурений у воду, постійно намагається виринути на поверхню?


Дистанційне Навчання З Фізики цікавиться

  • Чому м’яч, занурений у воду, постійно намагається виринути на поверхню?
  • Відгукнутись

Слайд 4

Вивчення нового матеріалу «Виштовхувальна сила в рідинах і газах. Закон Архімеда»

Опрацьовуємо очно або дистанційно параграф «Виштовхувальна сила в рідинах і газах. Закон Архімеда» §27 за підручником «Фізика 7 клас, В. Г. Бар’яхтар, С. О. Довгий». Записуємо головні означення (для зручності, вони виділені синім кольором) та формули.

При дистанційному навчанні розпочати урок варто з пояснювального відео.

PlayVideo YouTube

Слайд 5

На тіло, що перебуває в рідині або газі, діє виштовхувальна (архімедова) сила.

На тіло, що перебуває в рідині або газі, діє виштовхувальна (архімедова) сила

Причина її появи в тому, що гідростатичні тиски рідини або газу, які діють на верхню і нижню поверхні тіла, є різними.

Причина її появи в тому, що гідростатичні тиски рідини або газу, які діють на верхню і нижню поверхні тіла, є різними

Слайд 6

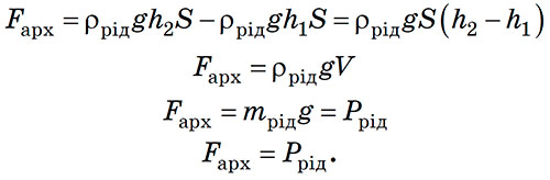
Архімедова сила дорівнює вазі рідини в об’ємі кубика

Архімедова сила дорівнює вазі рідини в об’ємі кубика.

Закон Архімеда: На тіло, занурене в рідину або газ, діє виштовхувальна сила, яка дорівнює вазі рідини або газу в об’ємі зануреної частини тіла.

Закон Архімеда. Формула

Експериментально підтвердити це можна за допомогою симуляції «Закон Архімеда».

Архімедова сила прикладена до центра зануреної частини тіла і напрямлена вертикально вгору.

Архімедова сила прикладена до центра зануреної частини тіла і напрямлена вертикально вгору

Слайд 7

На тіло, яке щільно прилягає до дна, архімедова сила не діє

На тіло, яке щільно прилягає до дна, архімедова сила не діє. Більш того, тіло додатково притискають до дна шар рідини та атмосфера:

Fтиску=рS, де р=ратм+ρgh.

Слайд 8

Закріплення набутих знань

Пройдіть інтерактивний тест онлайн уроку «Виштовхувальна сила в рідинах і газах. Закон Архімеда», побудований на основі контрольних запитань параграфа та додаткових завдань, щоб закріпити вивчений матеріал.

Тест "Виштовхувальна сила в рідинах та газах. Закон Архімеда"

Контрольні запитання до онлайн уроку "Виштовхувальна сила в рідинах та газах. Закон Архімеда" під час дистанційного навчання.

Слайд 9

Розв’язування задач

Розв’язуємо в робочому зошиті задачу з параграфу §36 п. 4 «Учимося розв’язувати задачі» на ст. 178, уважно аналізуючи усі дії.

Задача 1

Суцільний алюмінієвий брусок масою 540 г повністю занурений у воду і не торкається дна та стінок посудини. Визначте архімедову силу, що діє на брусок.

Слайд 10

Задача 2 (Вправа 27, п. 2)

Задача. Щоб відірвати підводний човен від глинистого дна, водолази прокопують під ним тунелі. Для чого вони це роблять?

Щоб відірвати підводний човен від глинистого дна, водолази прокопують під ним тунелі. Для чого вони це роблять?

Слайд 11

Домашнє завдання

Вправи до уроку «Виштовхувальна сила в рідинах та газах. Закон Архімеда», які вкаже ваш учитель фізики.

Наприклад, Вправа 27, завдання 4, 5 за підручником «Фізика 7 клас, В. Г. Бар’яхтар, С. О. Довгий»


Запрошуємо школярів та вчителів приєднатися до спільноти Facebook "Дистанційне навчання: Фізика":

Перейти на сторінку в ФБ


Дистанційне Навчання З Фізики цікавиться

  • Дистанційне Навчання З ФізикиМаєте питання, пропозиції або помітили помилку? Напишіть нам та ставте лайк!
  • Задонатити
  • Добровільну фінансову допомогу на розвиток проекту у вигляді довільної суми коштів, яка Вас не обтяжує, можна швидко надіслати за вказаним під кнопкою "Задонатити" посиланням

Візьміть участь в обговоренні

+++ +++
  • Зберегти, як скаргу
 20.03.2021 21:33  Каранда Галина => © 

Як швидко минув перший рік дистанційного навчання...