08.03.2021 00:00
для всіх
4848
    
  2 | 2  
 © Дистанційне Навчання З Фізики

Сполучені посудини. Манометри

Сполучені посудини. Манометри 7 клас

Мета уроку: засвоєння учнями під час очного або дистанційного навчання нових знань про сполучені посудини, рідинні та металеві манометри

Майбутнє та минуле – сполучені посудини часу.
Є. Кащєєв

Слайд 1

Актуалізація опорних знань. Онлайн перевірка знань

Пройдіть інтерактивний тест з попереднього уроку, щоб пригадати пройдений матеріал «Атмосферний тиск і його вимірювання. Барометри».

Тест "Атмосферний тиск і його вимірювання. Барометри"

Контрольні запитання до онлайн уроку "Атмосферний тиск і його вимірювання. Барометри" для очного та дистанційного навчання.

Слайд 2

Чому виливається вода з носика чайника, якщо його нахилити?


Дистанційне Навчання З Фізики цікавиться

  • Чому виливається вода з носика чайника, якщо його нахилити?
  • Відгукнутись

Слайд 3

Лишилось пройти усне коротеньке опитування.

Фронтальне опитування

1. Назвіть властивості рідини.

2. Що таке однорідна рідина?

3. Як обчислити гідростатичний тиск?

Слайд 4

Вивчення нового матеріалу «Сполучені посудини. Манометри»

Опрацьовуємо очно або дистанційно параграф §26 на сторінках 169-173 за підручником «Фізика 7 клас, В. Г. Бар’яхтар, С. О. Довгий». Для зручності, нижче виділені синім кольором основні тези з матеріалу. Уважно прочитайте та запишіть їх в робочий зошит. Також запишіть та вивчіть нові формули.

При дистанційному онлайн навчанні розпочати варто з перегляду узагальнюючого відео по темі уроку.

PlayVideo YouTube

Слайд 5

Сполучені посудини

Сполучені посудини — це посудини, з’єднані між собою в нижній частині так, що між ними може перетікати рідина.

Слайд 6

Основна властивість сполучених посудин: У відкритих сполучених посудинах вільні поверхні однорідної нерухомої рідини встановлюються на одному рівні.

У відкритих сполучених посудинах вільні поверхні однорідної нерухомої рідини встановлюються на одному рівні.

Поспостерігаємо за першою властивістю через відповідну симуляцію «Закон сполучених посудин».

Слайд 7

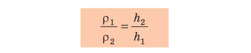
Відношення висот стовпчиків рідин є оберненим відношенню їхніх густин

Наступна властивість сполучених посудин: У відкритих сполучених посудинах стовпчик нерухомої рідини з меншою густиною буде вищим, ніж стовпчик нерухомої рідини з більшою густиною. Відношення висот стовпчиків рідин є оберненим відношенню їхніх густин:

Властивість сполучених посудин. Формула

Слайд 8

Приклади сполучених посудин, які нас оточують.

Пояснимо їх принцип застосування.

Застосування сполучених посудин у побуті

Слайд 9

Манометр — це прилад для вимірювання тиску рідин і газів.

Манометр. Приклад

У відкритому рідинному манометрі тиск газу pг у посудині визначається за різницею h рівнів рідини в колінах приладу:

Якщо pг < pатм, то pг=pатм–ρgh; якщо pг > pатм, то pг=pатм+ρgh, де pатм — атмосферний тиск.

Рідинний манометр

Слайд 10

На практиці широко застосовують металеві деформаційні манометри.

Принцип дії металевого манометра

Слайд 11

Закріплення набутих знань

Пройдіть інтерактивний тест «Сполучені посудини. Манометри», побудований на основі контрольних запитань з підручника фізики 7 класу.

Тест "Сполучені посудини. Манометри"

Контрольні запитання до онлайн уроку "Сполучені посудини. Манометри" під час дистанційного навчання.

Слайд 12

Розв’язування задач

Розв’язуємо письмово.

Задача 1

У який з чайників можна налити більше води?

Задача. У який з чайників можна налити більше води?

Слайд 13

Задача 2

Аналізуємо задачу з п.4 «Учимося розв’язувати задачі» §26 на ст. 172.

Задача. У праве коліно відкритої U-подібної трубки, яка містила воду, налили шар гасу висотою 12, 5 см

У праве коліно відкритої U-подібної трубки, яка містила воду, налили шар гасу висотою 12, 5 см (див. рисунок). Визначте різницю рівнів води і гасу в правому і лівому колінах U-подібної трубки. Гас і вода не змішуються.

Слайд 14

Домашнє завдання

Вправи до уроку «Сполучені посудини. Манометри», які вкаже ваш учитель фізики.

Наприклад, Вправа 26, завдання 1, 2, 3, 4 за підручником «Фізика 7 клас, В. Г. Бар’яхтар, С. О. Довгий»



2020 р.


Запрошуємо школярів та вчителів приєднатися до спільноти Facebook "Дистанційне навчання: Фізика":

Перейти на сторінку в ФБ


Дистанційне Навчання З Фізики цікавиться

  • Дистанційне Навчання З ФізикиМаєте питання, пропозиції або помітили помилку? Напишіть нам та ставте лайк!
  • Задонатити
  • Добровільну фінансову допомогу на розвиток проекту у вигляді довільної суми коштів, яка Вас не обтяжує, можна швидко надіслати за вказаним під кнопкою "Задонатити" посиланням

Візьміть участь в обговоренні

+++ +++
  • Зберегти, як скаргу
 28.03.2022 12:14  Ярослав Русін => © 

Тому що на землі є атмосферний тиск і він притягує воду в посудину

 28.03.2022 12:11  Ярослав Русін => © 

Тому що на землі є сила тяжіння і вода виливається через то що атмосферний тиск притягує воду.

 19.03.2021 09:20  Демчік => © 

Тому що вода рідка і треться об стіни чайника тим самим вона нахиляється разом з чайником