28.10.2020 21:24
для всіх
7316
    
  5 | 5  
 © Дистанційне Навчання З Фізики

Коливальний рух. Амплітуда, період і частота коливань

Коливальний рух. Амплітуда, період і частота коливань 7 клас

Мета онлайн уроку: засвоєння учнями під час очного або дистанційного навчання нових знань про коливальний рух, амплітуду, період і частоту коливань

Світ, в якому ми живемо, дивовижно схильний до коливань.
Р. Бішоп

Слайд 1

Актуалізація опорних знань. Онлайн перевірка знань

Пройдіть інтерактивний тест з попереднього уроку, щоб пригадати пройдений матеріал «Рівномірний рух матеріальної точки по колу. Період обертання».

Тест "Рівномірний рух матеріальної точки по колу. Період обертання"

Контрольні запитання до онлайн уроку "Рівномірний рух матеріальної точки по колу. Період обертання" для очного та дистанційного навчання.

Слайд 2

Вивчення нового матеріалу «Коливальний рух. Амплітуда, період і частота коливань»

Опрацьовуємо очно або дистанційно параграф §13 на сторінці 85-89 за підручником «Фізика 7 клас, В. Г. Бар’яхтар, С. О. Довгий». Для зручності, нижче виділені основні тези з матеріалу. Уважно прочитайте та запишіть їх в робочий зошит.

При дистанційному навчанні розпочати варто з короткого узагальнюючого відео, для кращого розуміння теми уроку.

PlayVideo YouTube

Слайд 3

Коливальний рух (коливання) є періодичним рухом.

Тягарець, що коливається на нитці або на пружині, — це приклад найпростішого маятника.

Математичний маятник

Пружинний маятник

Маятник — це тверде тіло, яке здійснює коливання внаслідок притягання до Землі або внаслідок дії пружини.

Коливальний рух

Маятники, в яких тіло коливається завдяки дії пружини, називають пружинними маятниками. Коливання пружинного маятника залежать від властивостей пружини і маси тіла.

Маятники, які коливаються завдяки притяганню до Землі, називають фізичними маятниками. Їх коливання є доволі складними, адже залежать від маси, геометричних розмірів, форми маятника тощо.

Слайд 4

Амплітуда коливань

Амплітуда коливань — це фізична величина, що дорівнює максимальній відстані, на яку відхиляється тіло від положення рівноваги під час коливань.

Амплітуда коливань

Амплітуду коливань позначають символом A. Одиниця амплітуди коливань в СІ — метр: [А]=м.

За одне коливання тіло проходить шлях l0, який приблизно дорівнює чотирьом амплітудам: l0=4А.

Слайд 5

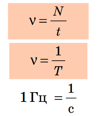
Період коливань

Період коливань — це фізична величина, що дорівнює часу, за який відбувається одне коливання.

Період коливань. Формула

де t — час спостереження; N — кількість коливань за цей час. Одиниця періоду коливань в СІ — секунда: [T]=с.

Слайд 6

Частота коливань

Частота коливань — це фізична величина, яка дорівнює кількості коливань за одиницю часу.

Частота коливань. Формула

Одиниця частоти коливань в СІ — герц (Гц) (названа на честь Генріха Герца ).

Генріх Рудольф Герц (1857-1894)

Генріх Рудольф Герц

Слайд 7

Коливання тягарця виведеного рукою з положення рівноваги – це приклад вільних коливань. Розрізняють затухаючі і незатухаючі коливання. Вільні коливання завжди є затухаючими.

Коливання, амплітуда яких із часом зменшується, називають затухаючими коливаннями.

Незатухаючі коливання — це коливання, амплітуда яких не змінюється з часом.

Незатухаючі коливання

Слайд 8

Закріплення набутих знань

Розглянемо розв’язок задачі з п. 6 на сторінці 88 підручника. Запишемо її в робочий зошит.

Розв’язування задач

Задача з §13 підручника «Фізика 7 клас, В. Г. Бар’яхтар, С. О. Довгий».

Невелику важку кульку, підвішену на нерозтяжній нитці завдовжки 1 м, відхилили від положення рівноваги та відпустили. За 30 с кулька здійснила 15 коливань. Яку відстань пройде кулька за 36 с, якщо амплітуда коливань — 5 см? Коливання вважайте незатухаючими.

Слайд 9

Пройдіть інтерактивний тест «Коливальний рух. Амплітуда, період і частота коливань», побудований на основі контрольних запитань з підручника фізики 7 класу.

Тест "Коливальний рух. Амплітуда, період і частота коливань"

Контрольні запитання до онлайн уроку "Коливальний рух. Амплітуда, період і частота коливань" для очного та дистанційного навчання.

Слайд 10

Домашнє завдання

Вправи та завдання до онлайн уроку «Коливальний рух. Амплітуда, період і частота коливань», які вкаже ваш учитель фізики.

Наприклад, Вправа 13 (завдання 2, 3) за підручником «Фізика 7 клас, В. Г. Бар’яхтар, С. О. Довгий».

Допитливі учні можуть виконати Експериментальне завдання 1 «Резонанс» на ст. 89-90.


Запрошуємо школярів та вчителів приєднатися до спільноти Facebook "Дистанційне навчання: Фізика":

Перейти на сторінку в ФБ


Візьміть участь в обговоренні

+++ +++
  • Зберегти, як скаргу
Не знайдено або поки відсутні!