ЛР. Вимірювання температурного коефіцієнта опору металу
11 клас Мета онлайн уроку: у ході дослідницької діяльності під час очного або дистанційного навчання поглибити знання учнів про природу електричного струму в металах та про залежність опору металів від температури; ознайомити з одним із методів вивчення температурного коефіцієнта опору металу
Л. Ландау
Актуалізація опорних знань. Онлайн перевірка знань
Перед початком лабораторної роботи проведемо фронтальне опитування. Пригадайте «Опір» та дайте відповіді на подані нижче запитання. При дистанційному навчанні відповіді записуються в робочий зошит.
1. Що таке опір провідника?
2. Як опір металевого провідника залежить від температури?
3. Що таке питомий опір?
4. Що таке температурний коефіцієнт опору металів?
5. Чим вимірюють опір?
Вивчення нового матеріалу
Опрацьовуємо очно або дистанційно лабораторну (експериментальну) роботу №3 «Вимірювання температурного коефіцієнта опору металу». При підготовці використовуємо матеріал на ст. 52-53 за підручником «Фізика 11 клас, В. Г. Бар’яхтар, С. О. Довгий».
Розпочати варто з перегляду відео, яке також допоможе виконати дану експериментальну роботу


Увага, дана лабораторна робота при дистанційному навчанні проводиться віртуально. Вимірювання проводяться в онлайн кабінеті віртуальними приладами! Але це не звільняє від повторення інструкції безпеки для учнів під час проведення занять у кабінеті фізики. Тому розпочинаємо урок, як завжди, з повторень правил з техніки безпеки, які записані на форзаці підручника.
Далі в робочих зошитах записуємо тему, мету, обладнання, хід роботи, дані вимірювань та висновок.
Лабораторна робота №3 «Вимірювання температурного коефіцієнта опору металу».
Мета роботи: експериментально довести, що залежність електричного опору металевого провідника від температури є лінійною; визначити температурний коефіцієнт опору міді.
Обладнання:
Увага! При дистанційному навчанні усі вимірювання проводить онлайн лабораторія автоматично, тому потрібен лише міліметровий папір.
Мультиметр, термометр, пристрій для вивчення залежності опору металів від температури, нагрівник, посудина з водою, штатив із муфтою та лапкою, лампа на підставці, міліметровий папір.
Хід роботи
Дослід
1. Відкрийте онлайн лабораторію для визначення «Температурного коефіцієнта електричного опору». Внесіть початковий опір, наприклад, 100 Ом, натиснувши кольорову кульку в правому нижньому кутку. Переконайтесь чи правильно вибраний метал провідника. Нас цікавий мідь (Cu). Усі табличні дані введені автоматично.
2. Побудуйте таблицю, в яку будемо записувати дані отримані під час вимірювань.
Проскрольте таблицю вліво →Температура t, °С | t0=20 | 30 | 40 | 50 | 60 | 70 | 80 | 90 |
Опір R, Ом | R=100 |
3. Рухаючи повзунок – змінюємо температуру. Вносимо покази для усіх вказаних температурних режимів в таблицю.
Після завершення експерименту переходимо до опрацювання результатів вимірювань.
Опрацювання результатів експерименту
4. За даними таблиці побудуйте графік залежності опору дроту від температури R(t). Про графічний метод опрацювання результатів читаємо в Додатку 2 на ст. 263 підручника.
5. Продовживши графік залежності R(t) до перетину з віссю ординат, знайдіть опір R0 мідного дроту за температури 0 °С.
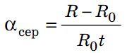
6. Виберіть на графіку довільну точку та визначте для неї відповідні значення опору R і температури t мідного дроту. Скориставшись формулою, яка подана нижче, визначте середнє значення температурного коефіцієнта опору міді.
7. Оцініть відносну й абсолютну похибки експерименту, порівнявши отриманий результат із табличним значенням температурного коефіцієнта опору міді (див. Додаток 1 на ст. 259 підручника)
Висновок:
8. Зробіть висновок на основі отриманих даних та запишіть його в робочий зошит. Не забудьте зазначити у ньому: 1) яку фізичну величину ви вимірювали; 2) яким є результат вимірювань; 3) у чому причина похибок вимірювань чи їх відсутність.
Домашнє завдання
Вправи до онлайн уроку «Вимірювання температурного коефіцієнта опору металу», які вкаже ваш учитель фізики.
Наприклад, Вправа 5, завдання 4, 6 за підручником «Фізика 11 клас, В. Г. Бар’яхтар, С. О. Довгий».