29.03.2021 20:55
для всіх
4003
    
  1 | 1  
 © Дистанційне Навчання З Фізики

Робота в термодинаміці

Робота в термодинаміці 10 клас

Мета онлайн уроку: формувати під час очного або дистанційного навчання знання про роботу термодинамічного процесу, про теплоємність; пояснити геометричний зміст роботи; формувати під час онлайн уроку вміння розв’язувати фізичні задачі на визначення роботи

Якщо у мене є тисяча ідей, і тільки одна з них виявляється плідною, я задоволений.
Альфред Нобель

Слайд 1

Актуалізація опорних знань. Перевірка знань

Фронтальна бесіда

При дистанційному навчанні відповідаємо письмово.

1. Які існують способи зміни внутрішньої енергії?

2. Чому дорівнює внутрішня енергія ідеального одноатомного газу?

3. Що таке ізотермічний, ізобарний та ізохорний процеси?

Слайд 2

Вивчення нового матеріалу «Робота в термодинаміці»

Опрацьовуємо очно або дистанційно параграф «Робота в термодинаміці» та записуємо головне. §37 за підручником «Фізика 10 клас, В. Г. Бар’яхтар, С. О. Довгий».

При дистанційному навчанні розпочати урок варто з пояснювального відео.

PlayVideo YouTube

Слайд 3

При стисненні газу збільшується швидкість руху його молекул

У разі відсутності теплообміну з довкіллям, якщо над газом виконується додатна робота, то внутрішня енергія газу збільшується; якщо газ сам виконує роботу, його внутрішня енергія зменшується.

Якщо над газом виконується додатна робота, то внутрішня енергія газу збільшується

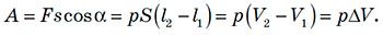
Робота газу в результаті ізобарного розширення дорівнює:

Робота газу в результаті ізобарного розширення. Формула

A=p∆V

Слайд 4

Робота газу чисельно дорівнює площі фігури під графіком залежності p(V).

Робота газу чисельно дорівнює площі фігури під графіком залежності p(V)

Геометричний зміст роботи при довільному процесі

Слайд 5

При ізохорному процесі робота газу дорівнює нулю

При ізохорному процесі робота газу дорівнює нулю: A=0.

Слайд 6

Закріплення набутих знань

Пройдіть інтерактивний тест онлайн уроку «Робота в термодинаміці», побудований на основі контрольних запитань параграфа та додаткових завдань.

Тест "Робота в термодинаміці"

Контрольні запитання до онлайн уроку "Робота в термодинаміці" під час дистанційного навчання.

Слайд 7


Дистанційне Навчання З Фізики цікавиться

Слайд 8

Розв’язування задач

Розглянемо задачу з пункту 3 на ст. 222 §37. Проаналізуємо уважно її розв’язок.

Задача

На рисунку графічно зображено циклічний процес, здійснений ідеальним газом. Визначте роботу, яку виконав газ за цикл.

На рисунку графічно зображено циклічний процес, здійснений ідеальним газом

Слайд 9

Далі проаналізуємо графік p(V), де зображені три шляхи переходу газу зі стану 1 в стан 2.

Завдання з графіками p(V)

Зробіть висновок на основі поданих графіків та запишіть його в робочий зошит. Вкажіть, як найефективніше має працювати газ і що при цьому має виконуватися. Наведіть приклади машин, де це використовується.

Слайд 10

Домашнє завдання

Вправи до онлайн уроку «Робота в термодинаміці», які вкаже ваш учитель фізики.

Наприклад, Вправа 37, завдання 2, 3 за підручником «Фізика 10 клас, В. Г. Бар’яхтар, С. О. Довгий».


PlayРобота в термодинаміці


Запрошуємо школярів та вчителів приєднатися до спільноти Facebook "Дистанційне навчання: Фізика":

Перейти на сторінку в ФБ


Дистанційне Навчання З Фізики цікавиться

  • Дистанційне Навчання З ФізикиМаєте питання, пропозиції або помітили помилку? Напишіть нам та ставте лайк!
  • Задонатити
  • Добровільну фінансову допомогу на розвиток проекту у вигляді довільної суми коштів, яка Вас не обтяжує, можна швидко надіслати за вказаним під кнопкою "Задонатити" посиланням

Візьміть участь в обговоренні

+++ +++
  • Зберегти, як скаргу
Не знайдено або поки відсутні!