07.05.2021 17:33
для всіх
5615
    
  11 | 11  
 © Поліанна М

Як рухається тіло, кинуте під кутом до горизонту, якщо опором повітря знехтувати не можна

Як рухається тіло, кинуте під кутом до горизонту, якщо опором повітря знехтувати не можна

Кидаємо камінь

Припустимо, що ми знаходимося на землі і кидаємо камінь (або будь-який інший предмет) під кутом α до горизонту (домовимося, що земля під ногами ідеально рівна, а опору повітря поки не існує). При цьому нехай кидок ми робимо зі швидкістю v0.

Наше завдання: вивчити, як довго буде летіти камінь, якої максимальної висоти він досягне і яку пролетить відстань в горизонтальному напрямку.

Оскільки ми кидаємо камінь під кутом, розкладемо швидкість (векторну величину) на vy і vx, тобто вертикальну і горизонтальну складові швидкості. Використовуючи прямокутний трикутник і співвідношення тригонометричних функцій з його сторонами, отримуємо

Формули. Рух тіла,  кинутого під кутом до горизонту. Швидкості

Тіло набирає висоту, поки вертикальна складова його швидкості не дорівнює нулю. Оскільки на тіло діє прискорення вільного падіння, яке зменшує його швидкість, закон зміни vy виглядає таким чином:

Формули. Рух тіла,  кинутого під кутом до горизонту. Швидкість по вертикалі

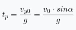
Прирівнявши vy до нуля (адже в найвищій точці тіло зупиниться), ми можемо знайти час, за який тіло досягає максимальної висоти:

Формули. Рух тіла,  кинутого під кутом до горизонту. Час підйому

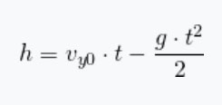
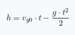
Також ми з легкістю можемо обчислити висоту, яку досягне наш камінь в залежності від часу польоту до найвищої точки, який отримали з формули вище:

Формули. Рух тіла,  кинутого під кутом до горизонту. Висота підйому

Скільки летить тіло?

Так як ми не будемо враховувати опір повітря, то горизонтальна складова швидкості vx не змінюється, а відстань, яку пролетить тіло в горизонтальному напрямку обчислюється за формулою:

Формули. Рух тіла,  кинутого під кутом до горизонту. Час руху

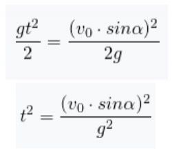
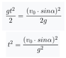
Далі логічно припустити, що тіло впаде на землю за час, що дорівнює подвійному часу підйому на максимальну висоту. Доведемо це. Максимальна висота підйому дорівнює:

Формули. Рух тіла,  кинутого під кутом до горизонту. Максимальна висота підйому

Розглянемо, за який час тіло опуститься з такої висоти, з огляду на те, що на нього діє тільки прискорення вільного падіння.

Формули. Рух тіла,  кинутого під кутом до горизонту

Таким чином, час польоту дорівнює подвійному часу підйому, а точка досягнення максимальної висоти знаходиться рівно по центру траєкторії руху.

Враховуємо опір повітря

А як робити обчислення, якщо потрібно врахувати опір повітря? Для цього використовують другий закон Ньютона. Прискорення тіла буде відмінне від g, тому тіло матиме прискорення a, яке буде зумовлене рівнодійною сил тяжіння та опору повітря. Але зробити це не так просто, адже сила опору середовища змінюється з кількох причин: ламінарне та вихрове обтікання, лобовий опір. І все це залежить від форми тіла, його швидкості, густини середовища тощо. Саме тому в шкільному курсі фізики майже ніколи не враховують опір повітря при розв’язуванні задач. І це правильно для невеликих та важких об’єктів круглої форми та малих швидкостей. Тому розглядаючи рух невеликого кинутого каменю, він буде майже ідентичний руху тіла в безповітряному просторі.


Запрошуємо школярів підписатися на канал youtube "Готові Домашні Завдання (ГДЗ): Фізика":

Перейти до ГДЗ на YouTube


Візьміть участь в обговоренні

+++ +++
  • Зберегти, як скаргу
Не знайдено або поки відсутні!