07.01.2021 15:06
для всіх
4972
    
  4 | 4  
 © Дистанційне Навчання З Фізики

Закон Кулона

Закон Кулона 8 клас

Мета онлайн уроку: ввести під час очного або дистанційного навчання поняття точкового заряду, сформулювати закон Кулона та його математичний запис

Чим більше знаєш, тим більше можеш.
Е. Абу

Слайд 1

Актуалізація опорних знань. Перевірка знань

Пройдіть інтерактивний тест з попереднього уроку «Механізм електризації. Електроскоп», щоб пересвідчитися, що матеріал засвоєний.

Тест "Механізм електризації. Електроскоп"

Контрольні запитання до онлайн уроку "Механізм електризації. Електроскоп" для очного та дистанційного навчання.

Слайд 2

Тепер спробуємо вигадати спосіб, яким можна визначити силу електричної взаємодії.

Слайд 3

Вивчення нового матеріалу «Закон Кулона»

Опрацьовуємо очно або дистанційно параграф «Закон Кулона» §22 за підручником «Фізика 8 клас, В. Г. Бар’яхтар, С. О. Довгий» або §23 «Закон Кулона» за підручником «Фізика 8 клас, П. Ф. Пістун, В. В. Добровольський». Пишемо конспект, головне виділене нижче.

При дистанційному навчанні урок варто розпочати з пояснювального відео по темі.

PlayVideo YouTube

Слайд 4

Точковий заряд

Точковим зарядом називають заряджене тіло, розмірами якого можна знехтувати порівняно з відстанями від нього.

Слайд 5

Будова крутильних терезів Шарля Кулона

Будова крутильних терезів Кулона

На металевому дроті закріплене коромисло, на кінцях якого розміщені кулька 2 і противага П. Крізь отвір у кришці скляного циліндра опускають кульку 1. Кулька 3 розташована на тримачі, який виготовлений із діелектрика.

Слайд 6

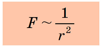
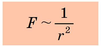
Залежність сили взаємодії двох точкових зарядів

Сила F взаємодії двох точкових зарядів обернено пропорційна квадрату відстані r між ними:

Сила F взаємодії двох точкових зарядів обернено пропорційна квадрату відстані r між ними

Сила F взаємодії двох точкових зарядів q1 і q2 прямо пропорційна добутку модулів цих зарядів:

Сила F взаємодії двох точкових зарядів q1 і q2 прямо пропорційна добутку модулів цих зарядів

Слайд 7

Закон Кулона (1785 р.)

Рисунок до закону Кулона

Сила F взаємодії двох нерухомих точкових зарядів q1 і q2 прямо пропорційна добутку модулів цих зарядів і обернено пропорційна квадрату відстані r між ними:

Закон Кулона. Формула

де k — коефіцієнт пропорційності.

Коефіцієнт пропорційності k

Сили Кулона напрямлені вздовж умовної прямої, яка з’єднує точкові заряди, що взаємодіють.

Сили Кулона напрямлені вздовж умовної прямої

Слайд 8

Закріплення набутих знань

Пройдіть інтерактивний тест онлайн уроку «Закон Кулона», побудований на основі контрольних запитань параграфа та додаткових завдань.

Тест "Закон Кулона"

Контрольні запитання до онлайн уроку "Закон Кулона" для очного та дистанційного навчання.

Слайд 9

Розв’язування задач

Задача 1 (Вправа 22, №1)

На рисунку зображено дві пари нерухомих невеликих кульок. Зобразіть сили Кулона, що діють на кожну кульку.

Задача. На рисунку зображено дві пари нерухомих невеликих кульок

Слайд 10

Задача 2 (з п. 4 «Учимося розв’язувати задачі» §22)

Дві невеликі негативно заряджені кульки розташовані в повітрі на відстані 30 см одна від одної. Сила їх взаємодії становить 32 мкН. Обчисліть кількість надлишкових електронів на другій кульці, якщо заряд першої кульки дорівнює –40 нКл.

Задача. Дві невеликі негативно заряджені кульки розташовані в повітрі на відстані

Слайд 11

Домашнє завдання

Вправи до онлайн уроку «Закон Кулона», які вкаже ваш учитель фізики.

Наприклад, Вправа 22, завдання 3, 4 за підручником «Фізика 8 клас, В. Г. Бар’яхтар, С. О. Довгий». Також законспектуйте розглянуту задачу з параграфу на ст. 121-122 в робочий зошит.

Наприклад, Завдання 23, вправа 1 за підручником «Фізика 8 клас, П. Ф. Пістун, В. В. Добровольський». Також законспектуйте задачу з п. «Приклад розв’язування задач» параграфу на ст. 110 в робочий зошит.


Запрошуємо школярів та вчителів приєднатися до спільноти Facebook "Дистанційне навчання: Фізика":

Перейти на сторінку в ФБ


Дистанційне Навчання З Фізики цікавиться

  • Дистанційне Навчання З ФізикиМаєте питання, пропозиції або помітили помилку? Напишіть нам та ставте лайк!
  • Задонатити
  • Добровільну фінансову допомогу на розвиток проекту у вигляді довільної суми коштів, яка Вас не обтяжує, можна швидко надіслати за вказаним під кнопкою "Задонатити" посиланням

Візьміть участь в обговоренні

+++ +++
  • Зберегти, як скаргу
Не знайдено або поки відсутні!