04.01.2021 15:06
для всіх
4733
    
  11 | 11  
 © Поліанна М

Ефект Доплера в астрономії

Ефект Доплера в астрономії

Ефект Доплера – зміна частоти коливань, яка сприймається спостерігачем, коли відбувається рух джерела коливань і спостерігача відносно один одного. Розглянемо приклад: є нерухоме джерело, котре випускає послідовність імпульсів з відстанню між сусідніми імпульсами (просторовий період) l0. Дані коливання поширюються в однорідному середовищі з постійною швидкістю v, не відчуваючи ніяких спотворень (тобто в середовищі без дисперсії). Тоді нерухомий спостерігач буде приймати послідовні імпульси через проміжок часу Т0=l0/v. Якщо джерело рухається в бік спостерігача зі швидкістю v, яка набагато менша за швидкість світла у вакуумі с (v«с), то між сусідніми імпульсами проміжок часу буде меншим і визначатиметься рівнянням Т=l/v, де I=l0–vТ0.

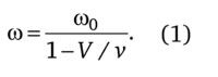
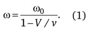
Якщо замість імпульсів розглядати сусідні максимуми поля в безперервній гармонійної хвилі, то при ефекті Доплера частота цієї хвилі ω=2π/Т, яка сприймається спостерігачем, буде більше частоти ω0=2π/Т0, яка відповідає хвилі джерела, і буде визначатися як

Формула. Ефект Доплера при низьких швидкостях

При взаємному відаленні джерела і спостерігача, сприймана частота зменшується і описується тією ж формулою (1), але зі зміненим в ній знаком швидкості v.

При русі джерела і приймача з довільними значеннями швидкості у певному напрямку в однорідному середовищі ефект Доплера залежить від кута ϕ між швидкістю v і хвильовим вектором до хвилі, яку приймає спостерігач. При наявності дисперсії і (або) анізотропії середовища необхідно врахувати, що в рівняння (1) входить не групова, а фазова швидкість хвильового збурення.

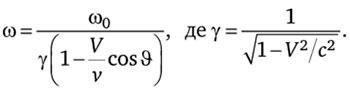
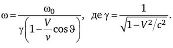
Для руху зі швидкостями v, порівнянними зі швидкістю світла у вакуумі (с), слід взяти до уваги ефект релятивістського уповільнення часу:

Формула. Ефект Доплера при швидкостях близьких до швидкості світла

Таким чином, ефект Доплера має чисто кінематичне походження.

Ефект Доплера названий на честь австрійського фізика та математика Крістіана Доплера (1803-1853 рр.), котрий вперше теоретично обгрунтував його в акустиці та оптиці (1842 р.). Перше експериментальне підтвердження даного ефекту в акустиці відноситься до 1845 р. Уточнення, які необхідні для спостереження ефекту Доплера в оптиці, було зроблено французьким фізиком Арманом Фізо. Зокрема, він розглянув доплеровске зміщення спектральних ліній, виявлене пізніше в 1867 р в спектрах деяких зірок і туманностей.

Ефект Доплера знаходить широке практичне застосування і дозволяє вимірювати швидкість руху джерел випромінювання або розсіювання хвилі об`єктів. Наприклад, в астрофізиці він використовується для визначення швидкості руху зірок, а також швидкості обертання небесних тіл. Так, вимірювання доплерівського зсуву ліній у спектрах випромінювання віддалених галактик привели до висновку про розширення Всесвіту з прискоренням (за це відкриття Сол Перлматтер, Брайан П. Шмідт і Адам Рісс отримали премію Шоу з астрономії у 2006 р, Нобелівську премію з фізики у 2011 р та Премію за досягнення в фундаментальній фізиці Юрія Мільнера в 2015 р). Також ефект Доплера використовується в радіо- і гідролокації для вимірювання швидкості рухомих цілей. У спектроскопії доплеровске розширення ліній випромінювання атомів та йонів дає спосіб вимірювання їх температури (в застосуванні до вивчення астрономічних явищ даний ефект тісно пов`язаний з законом зміщення Віна).


Запрошуємо школярів підписатися на канал youtube "Готові Домашні Завдання (ГДЗ): Фізика":

Перейти до ГДЗ на YouTube


Візьміть участь в обговоренні

+++ +++
  • Зберегти, як скаргу
Не знайдено або поки відсутні!