Вільні електромагнітні коливання в ідеальному коливальному контурі. Формула Томсона
11 клас Мета онлайн уроку: формувати знання учнів під час очного або дистанційного навчання про електромагнітні коливання в коливальному контурі та перетворення енергії; показати, що зміна заряду та сили струму в ньому відбувається за законом гармонічних коливань; вивести формулу Томсона
М. Фарадей
- Тест "Коливання. Види коливань. Фізичні величини, які характеризують коливання"
- Тест "Вільні електромагнітні коливання в ідеальному коливальному контурі. Формула Томсона"
Актуалізація опорних знань. Перевірка знань
Перед початком заняття пригадаємо попередній урок «Коливання. Види коливань. Фізичні величини, які характеризують коливання» та пройдемо відповідний онлайн-тест для перевірки знань.
Тест "Коливання. Види коливань. Фізичні величини, які характеризують коливання"
Тепер поспостерігаємо за роботою генератора змінного струму.
Вивчення нового матеріалу «Вільні електромагнітні коливання в ідеальному коливальному контурі. Формула В. Томсона»
Опрацьовуємо очно або дистанційно параграф «Вільні електромагнітні коливання в ідеальному коливальному контурі. Формула В. Томсона» §18 за підручником «Фізика 11 клас, В. Г. Бар’яхтар, С. О. Довгий». Пишемо конспект.
Для візуалізації фізичних явищ можна скористатися анімаціями/симуляціями за вказаними посиланнями: генератор; конденсатор; коливальний контур.
При дистанційному навчання розпочати варто з узагальнюючого відео-пояснення по даній темі.


Пригадаємо, що таке конденсатор через відповідну симуляцію.
Коливальний контур
Коливальний контур — це фізичний пристрій, який складається з послідовно з’єднаних конденсатора і котушки індуктивності.
Електромагнітні коливання в коливальному контурі
Якщо обкладкам конденсатора коливального контуру передати електричний заряд, у контурі виникнуть вільні електромагнітні коливання — періодичні зміни заряду на обкладках конденсатора й періодичні зміни сили струму в котушці. Під час вільних електромагнітних коливань енергія електричного поля конденсатора перетворюється на енергію магнітного поля котушки і навпаки.
Процес роботи коливального контуру зручно спостерігати через наступну анімацію.
Фізичну модель, що являє собою коливальний контур, у якому відсутні втрати енергії, називають ідеальним коливальним контуром.
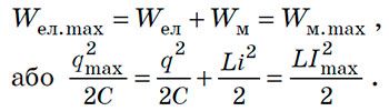
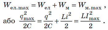
Закон збереження енергії для ідеального коливального контуру:
Графік електромагнітних коливань заряду в ідеальному коливальному контурі: косинусоїда.
Рівняння коливань заряду:
Рівняння коливань сили струму в контурі:
Формула Томсона
Виведена в 1853 році британським фізиком Вільямом Томсоном.
Вільям Томсон (Лорд Кельвін), (1824–1907)
Період власних коливань в ідеальному коливальному контурі визначають за формулою Томсона:
Закріплення набутих знань
Пройдемо інтерактивний тест онлайн уроку «Вільні електромагнітні коливання в ідеальному коливальному контурі. Формула Томсона», побудований на основі контрольних запитань параграфа та додаткових завдань, для остаточного закріплення поданого матеріалу.
Тест "Вільні електромагнітні коливання в ідеальному коливальному контурі. Формула Томсона"
Розв’язування задач
Розглянемо задачу з п. 4 «Учимося розв’язувати задачі» з підручника на сторінці 98 та проаналізуємо розв’язок.
Задача
Максимальна напруга на обкладках конденсатора ідеального коливального контуру досягає 1, 0 кВ. Яким є період електромагнітних коливань у контурі, якщо за амплітудного значення сили струму 1, 0 А енергія магнітного поля в контурі 1, 0 мДж?
Домашнє завдання
Вправи до онлайн уроку «Вільні електромагнітні коливання в ідеальному коливальному контурі. Формула В. Томсона», які вкаже ваш учитель фізики.
Наприклад, Вправа 18, завдання 2 за підручником «Фізика 11 клас, В. Г. Бар’яхтар, С. О. Довгий». Також законспектуйте задачу з п. 4 §18.