Самоіндукція. Індуктивність. Енергія магнітного поля
11 клас Мета онлайн уроку: розширити уявлення під час очного або дистанційного навчання про явище електромагнітної індукції; формувати знання про явище самоіндукції, закон самоіндукції та енергію магнітного поля
М. Фарадей
Актуалізація опорних знань. Перевірка знань
Перед початком заняття пригадаємо попередні уроки та пройдемо відповідний міні-тест для перевірки потрібних для сьогоднішнього заняття знань.
Тест "Закон електромагнітної індукції"
Вивчення нового матеріалу «Самоіндукція. Індуктивність. Енергія магнітного поля»
Опрацьовуємо очно або дистанційно параграф «Самоіндукція. Індуктивність. Енергія магнітного поля» §14 за підручником «Фізика 11 клас, В. Г. Бар’яхтар, С. О. Довгий». Пишемо конспект.
При дистанційному навчання розпочати варто з узагальнюючого відео по даній темі.


Самоіндукція
Проаналізуємо дослід. Клікаємо на наступний малюнок, щоб включити анімацію.
Явище виникнення вихрового електричного поля в провіднику, в якому тече змінний електричний струм, називають явищем самоіндукції.
ЕРС самоіндукції. Індуктивність
Електрорушійну силу індукції, що створюється в провіднику внаслідок зміни його власного магнітного поля, називають електрорушійною силою самоіндукції εis.
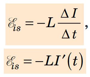
Закон самоіндукції:
ЕРС самоіндукції прямо пропорційна швидкості зміни сили струму в провіднику:
Індуктивність L — фізична величина, яка характеризує провідник і чисельно дорівнює ЕРС самоіндукції, що виникає в провіднику в разі зміни сили струму на 1 ампер за 1 секунду:
Одиниця індуктивності в СІ — генрі: [L]=1 Гн. Названа в честь американського фізика Джозефа Генрі, котрий в 1831 р. відкрив явище самоіндукції.
Джозеф Генрі (1797–1878).
Енергія магнітного поля
Енергія магнітного поля провідника зі струмом дорівнює половині добутку індуктивності провідника на квадрат сили струму в провіднику.
Закріплення набутих знань
Пройдемо інтерактивний міні-тест онлайн уроку «Самоіндукція. Індуктивність. Енергія магнітного поля», побудований на основі контрольних запитань параграфа та додаткових завдань, для остаточного закріплення поданого матеріалу.
Тест "Самоіндукція. Індуктивність. Енергія магнітного поля"
Розв’язування задач
Розглянемо задачу з п. 4 «Учимося розв’язувати задачі» з підручника на сторінці 82 та проаналізуємо розв’язок.
Задача
Надпровідну котушку індуктивністю 5, 0 Гн замикають на джерело струму з ЕРС 20 В і нехтовно малим внутрішнім опором. Вважаючи, що сила струму в котушці збільшується рівномірно, визначте час, за який сила струму досягне 10 А.
Домашнє завдання
Вправи до онлайн уроку «Самоіндукція. Індуктивність. Енергія магнітного поля», які вкаже ваш учитель фізики.
Наприклад, Вправа 14, завдання 2, 7 за підручником «Фізика 11 клас, В. Г. Бар’яхтар, С. О. Довгий». Також законспектуйте задачу з п. 4 §14.