Сила. Маса. Другий і третій закони Ньютона
10 клас Мета онлайн уроку: розширити уявлення під час очного або дистанційного навчання про поняття сили та маси; формувати знання про інертність, а також про другий та третій закони Ньютона
– Обов`язково! Кожна розсудлива людина просто зобов`язана час від часу це робити!
Барон Мюнхгаузен. З фільму «Той самий Мюнхгаузен»
- Тест "Інерціальні системи відліку. Перший закон Ньютона"
- Тест "Сила. Маса. Другий і третій закони Ньютона"
Актуалізація опорних знань. Перевірка знань
Пройдіть тест з попереднього уроку «Інерціальні системи відліку. Перший закон Ньютона», перед початком вивчення нової теми.
Тест "Інерціальні системи відліку. Перший закон Ньютона"
Поспостерігаємо тепер за фокусником.


Дистанційне Навчання З Фізики цікавиться
Після опрацювання параграфа, ви обов’язково дізнаєтесь секрет поданого трюка.
Вивчення нового матеріалу «Сила. Маса. Другий і третій закони Ньютона»
Опрацьовуємо очно або дистанційно параграф «Сила. Маса. Другий і третій закони Ньютона» §10 за підручником «Фізика 10 клас, В. Г. Бар’яхтар, С. О. Довгий». Складаємо конспект. Нижче виділені головні означення.
Для візуалізації фізичних явищ можна скористатися анімаціями/симуляціями за вказаними посиланнями: другий закон Ньютона, третій закон Ньютона.
При дистанційному навчанні варто переглянути узагальнююче відео по законах Ньютона та інерціальних системах відліку.


Кількісною мірою взаємодії є сила.
Сила F у механіці — це векторна фізична величина, що є мірою взаємодії тіл, у результаті якої тіло набуває прискорення або деформується.
Одиниця сили в СІ — ньютон:
Властивість тіла, яка полягає в тому, що для зміни швидкості руху тіла під дією сили потрібен деякий час, називають інертністю.
Маса m — фізична величина, яка є мірою інертності та мірою гравітації тіла. Одиниця маси в СІ — кілограм: [m]=1 кг (kg).
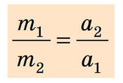
Якщо на два тіла масами m1 і m2 діють однакові сили, то порівняти маси цих тіл можна, якщо визначити прискорення, набуті тілами в результаті дії цих сил:
Другий закон Ньютона
Основний закон динаміки – другий закон Ньютона: Прискорення, якого набуває тіло внаслідок дії сили, прямо пропорційне цій силі та обернено пропорційне масі тіла:
Цей закон справджується тільки в інерціальних системах відліку.
Третій закон Ньютона
Тіла взаємодіють із силами, що мають одну природу, напрямлені вздовж однієї прямої, рівні за модулем і протилежні за напрямком:
Закріплення набутих знань
Пройдіть інтерактивний тест «Сила. Маса. Другий і третій закони Ньютона», який складений на основі контрольних запитань параграфа та додаткових завдань, щоб остаточно закріпити пройдений матеріал.
Тест "Сила. Маса. Другий і третій закони Ньютона"
Домашнє завдання
Вправи до онлайн уроку «Сила. Маса. Другий і третій закони Ньютона», які вкаже ваш учитель фізики.
Наприклад, Вправа 10, завдання 3, 4 за підручником «Фізика 10 клас, В. Г. Бар’яхтар, С. О. Довгий».