14.10.2020 21:45
для всіх
4283
    
  5 | 5  
 © Дистанційне Навчання З Фізики

Закони Кеплера. Закон всесвітнього тяжіння

Закони Кеплера. Закон всесвітнього тяжіння 11 клас

Мета онлайн уроку: ознайомити учнів під час очного або дистанційного навчання із законами Кеплера та законом всесвітнього тяжіння

Я віддаю перевагу різкій критиці одної розумної людини, ніж бездумного схвалення мас.
Й. Кеплер.

Слайд 1

Активізація пізнавальної діяльності учнів. Актуалізація опорних знань. Перевірка знань

Пройдемо інтерактивний тест онлайн уроку «Видимий рух Сонця. Видимі рухи Місяця та планет», щоб пригадати та остаточно закріпити пройдений матеріал.

Тест "Видимий рух Сонця. Видимі рухи Місяця та планет"

Контрольні запитання до онлайн уроку "Видимий рух Сонця. Видимі рухи Місяця та планет" для очного та дистанційного навчання.

Вивчення нового матеріалу «Закони Кеплера. Закон всесвітнього тяжіння»

Опрацьовуємо очно або дистанційно параграф «Закони Кеплера. Закон всесвітнього тяжіння», §1.5 на ст. 24-27 за підручником «Астрономія 11 клас, М. П. Пришляк». Пишемо конспект.

Для візуалізації законів можна скористатися анімаціями/симуляціями за вказаними посиланнями: перший закон Кеплера, другий закон Кеплера, третій закон Кеплера, закон всесвітнього тяжіння.

Слайд 2

Йоганн Кеплер

Йоганн Кеплер

Йоганн Кеплер (Йога́ннес Ке́плер, нім. Johannes Kepler; 27 грудня 1571, Вайль-дер-Штадт — 15 листопада 1630, Реґенсбурґ) — німецький філософ, математик, астроном, астролог і оптик, відомий насамперед відкриттям законів руху планет, названих законами Кеплера на його честь.

Слайд 3

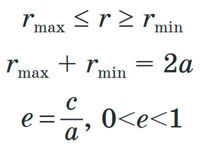
Перший закон Кеплера

Всі планети обертаються навколо Сонця по еліпсах, а Сонце розташоване в одному з фокусів цих еліпсів.

Планети обертаються по еліпсах

AF1 = rmin — у перигелії; BF1 = rmax — в афелії.

Перший закон Кеплера. Формули

Ступінь витягнутості еліпса характеризується ексцентриситетом e.

Для кращого розуміння поданого закону, переглянемо відповідну анімацію: Перший закон Кеплера.

Земля в перигелії: 3–4 січня наближається до Сонця на найменшу відстань — 147 млн км.

Земля в афелії: 3–4 липня віддаляється від Сонця на найбільшу відстань — 153 млн км.

Перигелій та афелій Землі

Увага! В підручнику, на сторінці 25, рисунок 5.3, помилка.

Слайд 4

Другий закон Кеплера

Радіус-вектор планети за однакові проміжки часу описує рівні площі.

Другий закон Кеплера

Найбільшу швидкість планета має в перигелії, коли відстань до Сонця є найменшою, а найменшу швидкість — в афелії, коли відстань є найбільшою.

Для кращого розуміння поданого закону, переглянемо відповідну анімацію: Другий закон Кеплера.

Слайд 5

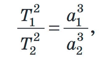
Третій закон Кеплера

Квадрати сидеричних періодів обертання планет навколо Сонця відносяться як куби великих півосей їхніх орбіт.

Третій закон Кеплера. Формули

де T1 та T2 — сидеричні періоди обертання будь-яких планет; a1 та a2 — великі півосі орбіт цих планет.

Для кращого розуміння поданого закону, переглянемо відповідну анімацію: Третій закон Кеплера.

Слайд 6

Закон всесвітнього тяжіння

Ісаак Ньютон (1643–1727)

Ісаак Ньютон

Закон всесвітнього тяжіння

Будь-які два тіла з масами М і m притягуються із силою, величина якої пропорційна добутку їхніх мас та обернено пропорційна квадрату відстані між ними.

Закон всесвітнього тяжіння. Формула

де G — гравітаційна стала; R — відстань між цими тілами.

Гравітаційна стала

Сила тяжіння, яка діє на космічний корабель, залежить від відстані R + H між кораблем і центром Землі.

Сила тяжіння,  яка діє на космічний корабель

Для кращого розуміння поданого закону, переглянемо відповідну анімацію: Закон всесвітнього тяжіння.

Слайд 7

Закріплення набутих знань

Пройдемо інтерактивний тест онлайн уроку «Закони Кеплера. Закон всесвітнього тяжіння», побудований на основі контрольних запитань параграфа для остаточного закріплення поданого матеріалу.

Тест "Закони Кеплера. Закон всесвітнього тяжіння"

Контрольні запитання до онлайн уроку "Закони Кеплера. Закон всесвітнього тяжіння" для очного та дистанційного навчання.

Слайд 8

Домашнє завдання

Завдання до онлайн уроку «Закони Кеплера. Закон всесвітнього тяжіння», які вкаже ваш учитель астрономії.

Наприклад, за допомогою Астрономічного календаря 2020 (скачуємо в форматі pdf за наступним посиланням) від Головної астрономічної обсерваторії НАН України, визначте, в який час земля в 2020 році знаходилася в афелії та перигелії. Ці дані шукаємо в довіднику спостерігача на сторінках 14-25. Бажаючі можуть більш детально ознайомитися з календарем.


Запрошуємо школярів та вчителів приєднатися до спільноти Facebook "Дистанційне навчання: Фізика":

Перейти на сторінку в ФБ


Візьміть участь в обговоренні

+++ +++
  • Зберегти, як скаргу
Не знайдено або поки відсутні!