Рівномірний рух матеріальної точки по колу
10 клас Мета онлайн уроку: формувати під час очного або дистанційного навчання уявлення про криволінійний рух матеріальної точки по колу; ввести характеристики цього руху та розрахункові формули
Аристотель
Актуалізація опорних знань. Перевірка знань
Поспостерігаємо за криволінійним рухом по колу.




Дистанційне Навчання З Фізики цікавиться
Вивчення нового матеріалу «Рівномірний рух матеріальної точки по колу»
Опрацьовуємо очно або дистанційно параграф «Рівномірний рух матеріальної точки по колу» §8 за підручником «Фізика 10 клас, В. Г. Бар’яхтар, С. О. Довгий». Складаємо конспект. Нижче виділені головні означення. Але розпочнемо з перегляду узагальнюючого відео по темі.


Рух по колу — це криволінійний рух.
Лінійна швидкість
Скалярну фізичну величину, яка характеризує криволінійний рух і дорівнює середній шляховій швидкості, виміряній за нескінченно малий інтервал часу, називають лінійною швидкістю руху тіла:
У разі рівномірного криволінійного руху лінійну швидкість руху тіла можна визначити за формулою:

Рівномірний рух по колу
Рівномірний рух тіла по колу — це такий криволінійний рух, за якого траєкторією руху тіла є коло, а лінійна швидкість руху не змінюється з часом.
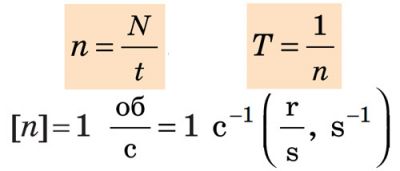
Період обертання Т
Обертова частота n
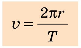
Лінійна швидкість v
Кутова швидкість — це фізична величина, яка чисельно дорівнює куту повороту радіуса за одиницю часу:
де ω — кутова швидкість; φ — кут повороту радіуса за інтервал часу t.
Доцентрове прискорення
У разі рівномірного руху тіла по колу прискорення є доцентровим, тобто напрямлене до центра кола.
Закріплення набутих знань
Пройдіть інтерактивний міні-тест «Рівномірний рух матеріальної точки по колу», який складений на основі контрольних запитань параграфа, щоб остаточно закріпити пройдений матеріал.
Тест "Рівномірний рух матеріальної точки по колу"
Розв’язування задач
Задача 1.
Обчисліть лінійну швидкість руху Землі навколо Сонця, якщо радіус орбіти нашої планети дорівнює 1 а. о.
Підказка: 1 астрономічна одиниця = 1, 5•1011 м.
Задача 2.
Чому рівна частота обертання нашої планети навколо своєї осі?
Домашнє завдання
Вправи до онлайн уроку «Рівномірний рух матеріальної точки по колу», які вкаже ваш учитель фізики.
Наприклад, Вправа 8, завдання 3, 4 за підручником «Фізика 10 клас, В. Г. Бар’яхтар, С. О. Довгий». Також спробуйте виконати Експериментальне завдання на сторінці 51.