Рівноприскорений прямолінійний рух. Прискорення
10 клас Мета онлайн уроку: поглибити під час очного або дистанційного навчання знання про нерівномірний рух; формувати уявлення про рівноприскорений рух, прискорення як основну фізичну величину, що характеризує рівноприскорений рух; формувати вміння записувати формули швидкості у векторному вигляді й проекціях на вісь координат
Г. Форд
Актуалізація опорних знань. Перевірка знань
Драгстери – автомобілі, які мають потужність літака «Боїнг». Це дуже драйвові та неповторні авто. Перегляньте відео, щоб відчути ці величезні швидкості.


Як видно з відео, на змаганнях драгстер подолав стандартну відстань в ¼ милі (402 метра) за 5.07 секунди. Швидкість автомобіля, судячи з табло: 308 миль/год. Обчисліть час проходження драгстера, знаючи пройдену відстань та швидкість.
Дистанційне Навчання З Фізики цікавиться
Вивчення нового матеріалу «Рівноприскорений прямолінійний рух. Прискорення»
Опрацьовуємо дистанційно параграф «Рівноприскорений прямолінійний рух. Прискорення» §6 за підручником «Фізика 10 клас, В. Г. Бар’яхтар, С. О. Довгий». Складаємо конспект. Нижче виділені головні означення. Але розпочнемо з перегляду узагальнюючого відео по темі.
Для візуалізації фізичних явищ можна скористатися анімаціями/симуляціями за вказаними посиланнями: рух.
Також з поданою темою допоможе справитися поданий відео-урок.


Рівноприскорений прямолінійний рух
Рівноприскорений прямолінійний рух — це рух із незмінним прискоренням, тобто рух, під час якого швидкість руху тіла змінюється однаково за будь-які рівні інтервали часу.
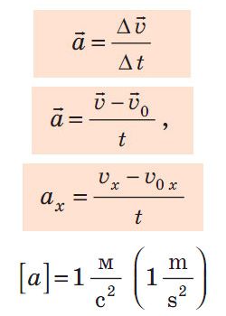
Векторну фізичну величину, яка характеризує швидкість зміни швидкості руху тіла й дорівнює відношенню зміни швидкості руху тіла до інтервалу часу, за який ця зміна відбулася, називають прискоренням руху тіла:
Напрямок прискорення руху тіла збігається з напрямком рівнодійної сил.
Якщо прискорення дорівнює нулю, тіло рухається рівномірно прямолінійно.
Графік проекції прискорення (графік залежності ax(t)) — відрізок прямої, паралельної осі часу.
Швидкість рівноприскореного прямолінійного руху
Рівняння проекції швидкості:
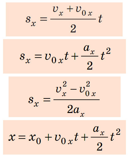
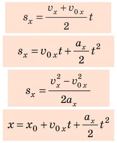
Переміщення під час рівноприскореного прямолінійного руху
Геометричний зміст проекції переміщення: переміщення тіла чисельно дорівнює площі фігури під графіком залежності проекції швидкості руху тіла від часу.
Розглянемо приклад рівноприскореного руху для виведення формули переміщення:
Графіки у разі рівноприскореного прямолінійного руху
Закріплення набутих знань
Пройдіть інтерактивний тест «Рівноприскорений прямолінійний рух. Прискорення», який складений на основі контрольних запитань параграфа, щоб остаточно закріпити пройдений матеріал.
Тест "Рівноприскорений прямолінійний рух. Прискорення"
Розглянемо задачу з п. 4 «Учимося розв’язувати задачі» з підручника «Фізика 10 клас, В. Г. Бар’яхтар, С. О. Довгий» на сторінці 37-38 та проаналізуємо розв’язок.
Домашнє завдання
Вправи до онлайн уроку «Рівноприскорений прямолінійний рух. Прискорення», які вкаже ваш учитель фізики.
Наприклад, Вправа 6, завдання 1 за підручником «Фізика 10 клас, В. Г. Бар’яхтар, С. О. Довгий». Також розглянути та законспектувати задачу з п. 4 «Учимося розв’язувати задачі» на сторінці 37-38.
