ЛР. Дослідження треків заряджених частинок за фотографіями
Мета онлайн уроку: в ході дослідницької діяльності під час дистанційного навчання формувати вміння аналізувати фотографії із зображенням треків заряджених частинок, отриманих за допомогою камери Вільсона, та ідентифікувати ці частинки
Сааді
Актуалізація опорних знань. Онлайн перевірка знань
Перед початком лабораторної роботи пригадайте уроки «Методи реєстрації йонізуючого випромінювання» і «Сила Лоренца» та її вплив на заряджену частинку, яка рухається в магнітному полі (§12, ст. 68 за підручником «Фізика 11 клас, В. Г. Бар’яхтар, С. О. Довгий»).
Перегляньте відповідне відео по темі, щоб розуміти, як читати фотографії з Камери Вільсона.


Вивчення нового матеріалу
Опрацьовуємо дистанційно лабораторну (експериментальну) роботу №9 «Дослідження треків заряджених частинок за фотографіями». При підготовці використовуємо матеріал на ст. 252-253 за підручником «Фізика 11 клас, В. Г. Бар’яхтар, С. О. Довгий».
Але спочатку перегляньте відео. Дану експериментальну роботу можна виконувати на основі відеоуроку.


В робочих зошитах записуємо тему, мету, обладнання, хід роботи, дані вимірювань та висновок.
Лабораторна робота №8 «Дослідження треків заряджених частинок за фотографіями».
Мета роботи: навчитися аналізувати фотографії із зображенням треків заряджених частинок, отриманих за допомогою камери Вільсона, та ідентифікувати ці частинки.
Обладнання:
1. Фотографія треків заряджених частинок (з підручника, ст. 252).
2. Косинець.
3. Калька.
Хід роботи
Дослід.
1. Під час експериментальної роботи кожен дослідить два треки, які вказані в підручнику на рисунку 1. Перенесіть це зображення в зошит за допомогою кальки, або роздрукуйте на принтері, відкривши наступний малюнок в новому вікні свого браузера.
2. Далі слід побудувати таблицю, в яку будуть вноситися дані дослідження.
Проскрольте таблицю вліво →№ | Форма треку | Зміна товщини треку | Радіус кривизни треку R, м | Знак заряду частинки | Питомий заряд q/m, Кл/кг | Назва частинки |
І | протон | |||||
ІІ |
3. Тепер розгляньте уважно фотографію треків заряджених частинок, яка отримана за допомогою камери Вільсона. Вкажіть напрямок початкових швидкостей частинок І та ІІ.
4. Проаналізуйте, як змінюється товщина треків – від початку до кінця пробігу частинки І та ІІ (збільшується, зменшується чи лишається сталою). Відповідь запишіть до таблиці.
5. Як ви вже помітили, назва І частинки відома – це протон. Порівняйте тепер треки І та ІІ, щоб визначити знак другої частинки.
6. Вкажіть на вашому малюнку напрямок вектора магнітної індукції (підказка: використовуємо ліву руку).
7. Лишається визначити радіуси кривизни для кожної частинки і вписати їх в таблицю. Це робиться дуже просто за допомогою косинця (підказка: дивіться малюнок нижче та відео).


Опрацювання результатів експерименту
8. Доповніть таблицю на основі виконаних досліджень.
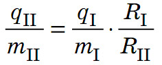
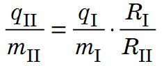
9. Обчисліть питомий заряд невідомої частинки ІІ за формулою:
10. Ідентифікуйте частинку ІІ. Визначте, ядром якого елемента вона є.
Висновок:
11. Зробіть відповідний висновок та запишіть його в робочий зошит.
Домашнє завдання
Протон і альфа-частинка влітають в однорідне магнітне поле перпендикулярно до ліній магнітної індукції. Порівняйте радіуси кіл, що їх описують частинки, якщо в них однакові: а) швидкості; б) енергії.
2020 р.