Механічна енергія. Потенціальна і кінетична енергія
Мета уроку: засвоєння нових знань під час дистанційного навчання про потенціальну та кінетичну енергію тіла, зв’язок потенціальної енергії з роботою та кінетичної енергії з рухом
Плутарх.
Актуалізація опорних знань. Онлайн перевірка знань
Перевірочна самостійна робота.
1. Запишіть означення механічній роботі та вкажіть її одиниці в СІ?
2. За яких умов виконується механічна робота?
3. Наведіть формулу для розрахунку механічної роботи.
4. Дайте означення сили тяжіння. Наведіть формулу для її обчислення.
5. Запишіть означення сили пружності.
Вивчення нового матеріалу «Механічна енергія. Потенціальна і кінетична енергія»
Опрацьовуємо дистанційно параграф §32 «Механічна енергія. Потенціальна і кінетична енергія» за підручником «Фізика 7 клас, В. Г. Бар’яхтар, С. О. Довгий» та записуємо головне.
Але спочатку подивіться відео по темі, яке допоможе зрозуміти поданий матеріал.


Енергія — це фізична величина, яка характеризує здатність тіла (системи тіл) виконувати роботу.
Енергію позначають символом E (або W).
Одиниця енергії в СІ, як і роботи, — джоуль:
[E] = Дж.
Потенціальна енергія
Потенціальна енергія Ep — це енергія, зумовлена взаємодією тіл або частин тіла.
Потенціальна енергія тіла, піднятого на деяку висоту h над поверхнею Землі, дорівнює роботі, яку виконає сила тяжіння Fтяж за час падіння тіла з цієї висоти: Ep=A=Fтяжl.
Оскільки Fтяж=mg, а l=h, то
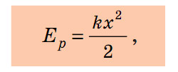
Потенціальну енергію пружно деформованої (розтягненої або стисненої) пружини визначають за формулою:
Кінетична енергія
Кінетична енергія — це енергія, яка зумовлена рухом тіла і дорівнює половині добутку маси тіла на квадрат швидкості його руху:
де Ek — кінетична енергія тіла; m — маса тіла; v — швидкість руху тіла.
Суму кінетичної і потенціальної енергій тіла називають повною механічною енергією тіла:

Закріплення набутих знань
Пройти тест в кінці даного онлайн уроку, котрий побудований на основі контрольних запитань з підручника фізики 7 класу.
Тест "Механічна енергія. Потенціальна і кінетична енергія"
Домашнє завдання
Вправи до уроку «Механічна енергія. Потенціальна і кінетична енергія», які вкаже ваш учитель фізики.
Наприклад, Вправа 32, завдання 3, 4 за підручником «Фізика 7 клас, В. Г. Бар’яхтар, С. О. Довгий»
2020 р.