13.03.2021 00:00
для всіх
4706
    
  5 | 5  
 © Дистанційне Навчання З Фізики

Рух тіла під дією сили тяжіння

Рух тіла під дією сили тяжіння 9 клас

Мета онлайн уроку: формувати знання під час очного або дистанційного навчання про закономірності руху тіла під дією сили тяжіння у випадках, коли тіло кинуто вертикально та горизонтально

Все перебуває в русі і з самого початку було призначене для руху.
Г. Форд

Слайд 1

Актуалізація опорних знань. Перевірка знань

Перевірочна самостійна робота

Відповідаємо письмово в робочих зошитах.

Задача 1.

На якій висоті над поверхнею нашої планети сила земного тяжіння втричі менша від сили тяжіння поблизу її поверхні?

Задача 2.

Використовуючи подану нижче таблицю «Дані про нашу Сонячну систему», потрібно скласти власну умову задачі та розв’язати її, беручи додатково будь-які сторонні дані.

Дані про нашу Сонячну систему

Проскрольте таблицю вліво →

Радіус Сонця

700000 км

Середня відстань від Землі до Сонця

150 млн км

Середній радіус Землі

6370 км

Радіус Місяця

1740 км

Середня відстань від Землі до Місяця

384000 км

Слайд 2

Фронтальна бесіда

При дистанційному навчанні відповідаємо письмово.

1. Що таке рівноприскорений рух?

2. Запишіть основні формули, які характеризують рівноприскорений рух.

3. Що таке сила тяжіння?

4. Що таке вільне падіння?

Слайд 3

Вивчення нового матеріалу «Рух тіла під дією сили тяжіння»

Опрацьовуємо очно або дистанційно параграф «Рух тіла під дією сили тяжіння» та записуємо головне. §34 за підручником «Фізика 9 клас, В. Г. Бар’яхтар, С. О. Довгий».

При дистанційному навчанні розпочати урок варто з пояснювального відео.

PlayVideo YouTube

Слайд 4

Спрощення, які приймаються при описанні руху тіла в полі тяжіння Землі

1) систему відліку, пов’язану з точкою на поверхні Землі, вважатимемо інерціальною;

2) g=9, 8 м/с2≈10 м/с2;

3) опором повітря будемо нехтувати.

Слайд 5

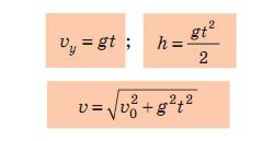
Рух тіла, кинутого вертикально

Рух тіла, кинутого вертикально вгору або вниз, — це рівноприскорений прямолінійний рух із прискоренням, що дорівнює прискоренню вільного падіння: a = g.

Рух тіла,  кинутого вертикально

Рух тіла,  кинутого вертикально. Формули

Слайд 6

Рух тіла, кинутого горизонтально

Рух тіла,  кинутого горизонтально

Такий рух є результатом додавання двох рухів:

Рух тіла,  кинутого горизонтально. Розкладання швидкостей

1) уздовж осі ОХ рух є рівномірним, бо на тіло не діє жодна сила, а проекція сили тяжіння на вісь ОХ дорівнює о;

Рівномірний рух.

2) уздовж осі OY рух рівноприскорений з прискоренням g, оскільки уздовж осі OY на тіло діє сила тяжіння.

Рівноприскорений рух.

Отже, модуль швидкості руху тіла, кинутого горизонтально, в будь-якій довільній точці траєкторії, визначається через теорему Піфагора.

Поспостерігаємо тепер рух тіла кинутого горизонтально через одну з симуляцій: перша, друга.

Слайд 7

Закріплення набутих знань

Пройдіть інтерактивний тест онлайн уроку «Рух тіла під дією сили тяжіння», побудований на основі контрольних запитань параграфа та додаткових завдань.

Тест "Рух тіла під дією сили тяжіння"

Контрольні запитання до онлайн уроку "Рух тіла під дією сили тяжіння" під час дистанційного навчання.

Слайд 8

Домашнє завдання

Вправи до онлайн уроку «Рух тіла під дією сили тяжіння», які вкаже ваш учитель фізики.

Наприклад, Вправа 34, завдання 1, 3 за підручником «Фізика 9 клас, В. Г. Бар’яхтар, С. О. Довгий». Проаналізуйте подані три задачі з §34.


Запрошуємо школярів та вчителів приєднатися до спільноти Facebook "Дистанційне навчання: Фізика":

Перейти на сторінку в ФБ


Дистанційне Навчання З Фізики цікавиться

  • Дистанційне Навчання З ФізикиМаєте питання, пропозиції або помітили помилку? Напишіть нам та ставте лайк!
  • Задонатити
  • Добровільну фінансову допомогу на розвиток проекту у вигляді довільної суми коштів, яка Вас не обтяжує, можна швидко надіслати за вказаним під кнопкою "Задонатити" посиланням

Візьміть участь в обговоренні

+++ +++
  • Зберегти, як скаргу
Не знайдено або поки відсутні!